精英家教网 > 高中物理 > 题目详情

如图所示,电子自静止开始经从M、N板间的电场加速后从A点垂直于磁场边界射入宽度为d的匀强磁场中,两板间的电压为U,电子离开磁场时的位置P偏离入射方向的距离为L,在距离磁场边界S处有屏幕N,电子射出磁场后打在屏上。(已知d>L,电子的质量为m,电荷量为e)求:

(1)电子进入磁场的速度大小。

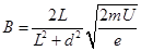
(2)匀强磁场的磁感应强度

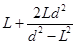
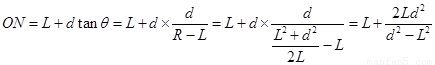
(3)电子打到屏幕上的点距中心O点的距离是多少?

 

【答案】

(1)(2)(3)

【解析】

试题分析:(1)作电子经电场和磁场中的轨迹图,如图所示,

设电子在M、N两板间经电场加速后获得的速度为,由动能定理得:

     ①

    (共4分)

(2)电子进入磁场后做匀速圆周运动,设其半径为r,则:

       ②

由几何关系得:    ③

联立求解①②③式得:       (4分)

(3)离开磁场后做匀速直线运动如下图

           4分

考点:带电粒子在匀强磁场中的运动

 

练习册系列答案
相关习题

科目:高中物理 来源: 题型:

如图所示,电子自静止开始经M、N板间的电场加速后从A点垂直于磁场边界射入宽度为d的匀强磁场中,两板间的电压为U,电子离开磁场时的位置P偏离入射方向的距离为L,在距离磁场边界S处有屏幕N,电子射出磁场后打在屏上.(已知电子的质量为m,电荷量为e)求:
精英家教网
(1)电子进入磁场的速度大小
(2)匀强磁场的磁感应强度
(3)电子打到屏幕上的点距中心O点的距离是多少?

查看答案和解析>>

科目:高中物理 来源: 题型:

如图所示。电子自静止开始经MN板间(两板间的电压为U)的电场加速后从A点垂直于磁场边界射入宽度为d的匀强磁场中,电子离开磁场时的位置P偏离入射方向的距离为L,在距离磁场边界S处有屏幕N, 电子射出磁场后打在屏上。(已知电子的质量为m,电量为e)求:

   (1)电子射入磁场时的速度VA

(2)匀强磁场的磁感应强度.

   (3)电子打到屏幕上的点距中心O点的距离是多少?

查看答案和解析>>

科目:高中物理 来源: 题型:

如图所示。电子自静止开始经MN板间(两板间的电压为U)的电场加速后从A点垂直于磁场边界射入宽度为d的匀强磁场中,电子离开磁场时的位置P偏离入射方向的距离为L,在距离磁场边界S处有屏幕N,电子射出磁场后打在屏上。(已知电子的质量为m,电量为e)求:

   (1)电子射入磁场时的速度VA

(2)匀强磁场的磁感应强度.

   (3)电子打到屏幕上的点距中心O点的距离是多少?

 

查看答案和解析>>

科目:高中物理 来源:2010年内蒙古包头三十三中高二上学期期中考试物理试卷 题型:计算题

如图所示。电子自静止开始经MN板间(两板间的电压为U)的电场加速后从A点垂直于磁场边界射入宽度为d的匀强磁场中,电子离开磁场时的位置P偏离入射方向的距离为L,在距离磁场边界S处有屏幕N, 电子射出磁场后打在屏上。(已知电子的质量为m,电量为e)求:
(1)电子射入磁场时的速度VA
(2)匀强磁场的磁感应强度.
(3)电子打到屏幕上的点距w.w.^w.k.&s.5*u.c.#om高.考.资.源.网中心O点的距离是多少?

查看答案和解析>>

科目:高中物理 来源:2014届山东省济宁市高二2月月考物理试卷(解析版) 题型:计算题

(16分)如图所示,电子自静止开始经M、N板间的电场加速后从A点垂直于磁场边界射入宽度为d的匀强磁场中,两板间的电压为U,电子离开磁场时的位置P偏离入射方向的距离为L,在距离磁场边界S处有屏幕N, 电子射出磁场后打在屏上。(已知电子的质量为m,电荷量为e)求:

(1)电子进入磁场的速度大小

(2)匀强磁场的磁感应强度

(3)电子打到屏幕上的点距中心O点的距离是多少?

 

查看答案和解析>>

同步练习册答案