精英家教网 > 高中物理 > 题目详情
如图所示,一条轨道固定在竖直平面内,粗糙的ab段水平,bcde段光滑,cde段是以O为圆心、R为半径的一小段圆弧。可视为质点的物块A和B紧靠在一起,静止于b处,A的质量是B的3倍。两物块在足够大的内力作用下突然分离,分别向左、右始终沿轨道运动。B到d点时速度沿水平方向,此时轨道对B的支持力大小等于B所受重力的,A与ab段的动摩擦因数为μ,重力加速度g,求:
(1)物块B在d点的速度大小;
(2)物块A、B在b点刚分离时,物块B的速度大小;
(3)物块A滑行的最大距离s。
解:(1)B在d点,根据牛顿第二定律有:
      解得:
(2)B从b到d过程,只有重力做功,机械能守恒有:
     
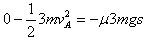
(3)AB分离过程动量守恒有:…………①
      A匀减速直线运动,用动能定理得:………②
      联立①②,解得:
练习册系列答案
相关习题

科目:高中物理 来源: 题型:

(2010?广东)如图所示,一条轨道固定在竖直平面内,粗糙的ab段水平,bcde段光滑,cde段是以O为圆心、R为半径的一小段圆弧.可视为质点的物块A和B紧靠在一起,静止于b处,A的质量是B的3倍.两物块在足够大的内力作用下突然分离,分别向左、右始终沿轨道运动.B到b点时速度沿水平方向,此时轨道对B的支持力大小等于B所受重力的
34
,A与ab段的动摩擦因数为μ,重力加速度g,求:
(1)物块B在d点的速度大小;
(2)物块A滑行的距离s.

查看答案和解析>>

科目:高中物理 来源: 题型:

如图所示,一条轨道固定在竖直平面内,粗糙的ab段水平,bcde段光滑,cde段是以O为圆心、R为半径的一小段圆弧.可视为质点的物块A和B紧靠在一起,静止于b处,A的质量是B的3倍.两物块在足够大的内力作用下突然分离,分别向左、右始终沿轨道运动.B到d点时速度沿水平方向,此时轨道对B的支持力大小等于B所受重力的
34
,A与ab段的动摩擦因数为μ,重力加速度g,求:
(1)物块B在d点的速度大小;
(2)物块A、B在b点刚分离时,物块B的速度大小;
(3)物块A滑行的最大距离s.

查看答案和解析>>

科目:高中物理 来源: 题型:

如图所示,一条轨道固定在竖直平面内,粗糙的ab段水平,bcde段光滑,cde段是以O为圆心、R为半径的一小段圆弧,圆心O与在ab 同一水平线上.可视为质点的物块A和B紧靠在一起,静止于b处,A的质量是B的3倍.两物块在足够大的内力作用下突然分离,分别向左、右始终沿轨道运动.B到d点时速度沿水平方向,此时轨道对B的支持力大小等于B所受重力的
34
倍,A与ab段的动摩擦因数为μ,重力加速度为g,求:
(1)物块B在d点的速度大小;
(2)物块A滑行的距离s和时间t.

查看答案和解析>>

科目:高中物理 来源: 题型:

精英家教网(1)下列说法正确的是:
 

A.α粒子大角度散射表明α粒子很难进入原子内部
B.氢原子跃迁发出的光从空气射入水时可能发生全反射
C.裂变反应有质量亏损,质量数不守恒
D.γ射线是一种波长很短的电磁波
(2)如图所示,一条轨道固定在竖直平面内,粗糙的ab段水平,bcde段光滑,cde段是以O为圆心、R为半径的一小段圆弧.可视为质点的物块A和B紧靠在一起,静止于b处,A的质量是B的3倍.两物块在足够大的内力作用下突然分离,分别向左、右始终沿轨道运动.B到d点时速度沿水平方向,此时轨道对B的支持力大小等于B所受重力的3/4,A与ab段的动摩擦因数为μ,重力加速度g,求:物块B在d点的速度大小;物块A滑行的距离s.

查看答案和解析>>

科目:高中物理 来源: 题型:

(10分)如图所示,一条轨道固定在竖直平面内,粗糙的ab段水平,bcde段光滑,cde段是以O为圆心、R为半径的一小段圆弧。可视为质点的物块AB紧靠在一起,静止于b处,A的质量是B的3倍。两物块在足够大的内力作用下突然分离,分别向左、右始终沿轨道运动。B到d点时速度沿水平方向,此时轨道对B的支持力大小等于B所受重力的3/4,Aab段的动摩擦因数为μ,重力加速度g,求:

(1)物块Bd点的速度大小;

(2)物块A滑行的距离s

 

查看答案和解析>>

同步练习册答案