精英家教网 > 高中物理 > 题目详情
质量为m、电荷量为q的带电粒子以初速v沿垂直于电场的方向,进入长为l、间距为d、电压为U的平行金属板间的匀强电场中,粒子将做匀变速曲线运动,如图所示,若不计粒子重力,则可求出如下相关量:
(1)粒子穿越电场的时间t;
(2)粒子离开电场时的速度v;
(3)粒子离开电场时的侧移距离y.
【答案】分析:(1)带电粒子在电场中沿垂直电场方向做匀速直线运动,已知位移和速度,根据x=vt即可求得时间;
(2)带电粒子沿电场方向做初速度为零的匀加速直线运动,加速度为,根据v=at可求出电场是沿电场方向的速度vy,根据矢量合成,即可求出粒子离开电场时的速度v;
(3)根据即可求出侧移位移.
解答:解:(1)设粒子穿越电场的时间为t,粒子沿垂直于电场的方向以vx=v0①做匀速直线运动,
由x=vt得:        ②
(2)粒子沿电场方向做初速度为零的匀加速直线运动,加速度为     ③
粒子离开电场时平行电场方向的分速度  vy=ayt   ④
 粒子离开电场时的速度         ⑤
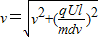
①→⑤联立得   
(3)粒子离开电场时的侧移距离         ⑥
①③⑥联立得:
答:粒子穿越电场的时间为,粒子离开电场时的速度为,粒子离开电场时的侧移距离为
点评:解决本题的关键是带电粒子在电场中偏转规律,沿电场方向做初速度为零的匀加速直线运动,加速度,速度 vy=ayt,偏转位移,垂直电场方向做匀速直线运动.
练习册系列答案
相关习题

科目:高中物理 来源: 题型:

(2009?宁夏)如图所示,在第一象限有一匀强电场,场强大小为E,方向与y轴平行;在x轴下方有一匀强磁场,磁场方向与纸面垂直.一质量为m、电荷量为-q(q>0)的粒子以平行于x轴的速度从y轴上的P点处射入电场,在x轴上的Q点处进入磁场,并从坐标原点O离开磁场.粒子在磁场中的运动轨迹与y轴交于M点.已知OP=l,OQ=2
3
l.不计重力.求:
(1)M点与坐标原点O间的距离;
(2)粒子从P点运动到M点所用的时间.

查看答案和解析>>

科目:高中物理 来源: 题型:

精英家教网如图所示,A、B是两块竖直放置的平行金属板,相距为2L,分别带有等量的正、负电荷,在两板间形电场强度大小为E匀强电场.A板上有一小孔(它的存在对两板间匀强电场分布的影响可忽略不计),孔中有一条与板垂直的水平光滑绝缘轨道,一个质量为m,电荷量为q(q>0)的小球(可视为质点),在外力作用下静止在轨道的中点P处.一自然长度为L的轻弹簧左端固定在距A板左侧L处挡板上,右端固定一块轻小的绝缘材料制成的薄板Q.撤去外力释放带电小球,它将在电场力作用下由静止开始向左运动,穿过小孔后(不与金属板A接触)与薄板Q一起压缩弹簧,由于薄板Q及弹簧的质量都可以忽略不计,可认为小球与Q接触过程中不损失机械能.小球从接触Q开始,经过一段时间第一次把弹簧压缩至最短,然后又被弹簧弹回.由于薄板Q的绝缘性能有所欠缺,使得小球每次离开Q瞬间,小球的电荷量都损失一部分,而变成刚与Q接触时小球电荷量的
1
k
(k>l).求:
(1)弹簧第一次压缩到最左边时的弹性势能;
(2)小球在与B板相碰之前,最多能与薄板Q碰撞多少次;
(3)设A板的电势为零,当k=2,且小孔右侧的轨道粗糙与带电小球间的滑动摩擦力Ff=
qE
4
时,求带电小球初、末状态的电势能变化量.

查看答案和解析>>

科目:高中物理 来源:模拟题 题型:计算题

如图所示,A、B是两块竖直放置的平行金属板,相距为2L,分别带有等量的正、负电荷,在两板间形电场强度大小为E匀强电场。A板上有一小孔(它的存在对两板间匀强电场分布的影响可忽略不计),孔中有一条与板垂直的水平光滑绝缘轨道,一个质量为m,电荷量为q(q>0)的小球(可视为质点),在外力作用下静止在轨道的中点P处。一自然长度为L的轻弹簧左端固定在距A板左侧L处挡板上,右端固定一块轻小的绝缘材料制成的薄板Q。撤去外力释放带电小球,它将在电场力作用下由静止开始向左运动,穿过小孔后(不与金属板A接触)与薄板Q一起压缩弹簧,由于薄板Q及弹簧的质量都可以忽略不计,可认为小球与Q接触过程中不损失机械能。小球从接触Q开始,经过一段时间第一次把弹簧压缩至最短,然后又被弹簧弹回。由于薄板Q的绝缘性能有所欠缺,使得小球每次离开Q瞬间,小球的电荷量都损失一部分,而变成刚与Q接触时小球电荷量的(k>l)。求:
(1)弹簧第一次压缩到最左边时的弹性势能;
(2)小球在与B板相碰之前,最多能与薄板Q碰撞多少次;
(3)设A板的电势为零,当k=2,且小孔右侧的轨道粗糙与带电小球间的滑动摩擦力时,求带电小球初、末状态的电势能变化量。

查看答案和解析>>

科目:高中物理 来源:2011年浙江省杭州市高考物理二模试卷(解析版) 题型:解答题

如图所示,A、B是两块竖直放置的平行金属板,相距为2L,分别带有等量的正、负电荷,在两板间形电场强度大小为E匀强电场.A板上有一小孔(它的存在对两板间匀强电场分布的影响可忽略不计),孔中有一条与板垂直的水平光滑绝缘轨道,一个质量为m,电荷量为q(q>0)的小球(可视为质点),在外力作用下静止在轨道的中点P处.一自然长度为L的轻弹簧左端固定在距A板左侧L处挡板上,右端固定一块轻小的绝缘材料制成的薄板Q.撤去外力释放带电小球,它将在电场力作用下由静止开始向左运动,穿过小孔后(不与金属板A接触)与薄板Q一起压缩弹簧,由于薄板Q及弹簧的质量都可以忽略不计,可认为小球与Q接触过程中不损失机械能.小球从接触Q开始,经过一段时间第一次把弹簧压缩至最短,然后又被弹簧弹回.由于薄板Q的绝缘性能有所欠缺,使得小球每次离开Q瞬间,小球的电荷量都损失一部分,而变成刚与Q接触时小球电荷量的(k>l).求:
(1)弹簧第一次压缩到最左边时的弹性势能;
(2)小球在与B板相碰之前,最多能与薄板Q碰撞多少次;
(3)设A板的电势为零,当k=2,且小孔右侧的轨道粗糙与带电小球间的滑动摩擦力时,求带电小球初、末状态的电势能变化量.

查看答案和解析>>

科目:高中物理 来源:2011年全国普通高校招生统一考试物理模拟试卷(二)(解析版) 题型:解答题

如图所示,A、B是两块竖直放置的平行金属板,相距为2L,分别带有等量的正、负电荷,在两板间形电场强度大小为E匀强电场.A板上有一小孔(它的存在对两板间匀强电场分布的影响可忽略不计),孔中有一条与板垂直的水平光滑绝缘轨道,一个质量为m,电荷量为q(q>0)的小球(可视为质点),在外力作用下静止在轨道的中点P处.一自然长度为L的轻弹簧左端固定在距A板左侧L处挡板上,右端固定一块轻小的绝缘材料制成的薄板Q.撤去外力释放带电小球,它将在电场力作用下由静止开始向左运动,穿过小孔后(不与金属板A接触)与薄板Q一起压缩弹簧,由于薄板Q及弹簧的质量都可以忽略不计,可认为小球与Q接触过程中不损失机械能.小球从接触Q开始,经过一段时间第一次把弹簧压缩至最短,然后又被弹簧弹回.由于薄板Q的绝缘性能有所欠缺,使得小球每次离开Q瞬间,小球的电荷量都损失一部分,而变成刚与Q接触时小球电荷量的(k>l).求:
(1)弹簧第一次压缩到最左边时的弹性势能;
(2)小球在与B板相碰之前,最多能与薄板Q碰撞多少次;
(3)设A板的电势为零,当k=2,且小孔右侧的轨道粗糙与带电小球间的滑动摩擦力时,求带电小球初、末状态的电势能变化量.

查看答案和解析>>

同步练习册答案