精英家教网 > 高中物理 > 题目详情

如图(甲)所示,在x轴上有一个点电荷Q(图中未画出),O、A、B为轴上三点。放在A、B两点的检验电荷受到的电场力跟检验电荷所带电荷量的关系如图(乙)所示。以x轴的正方向为电场力的正方向,则(   )

A.点电荷Q一定为正电荷 

B.点电荷Q在AB之间

C.A点的电场强度大小为5×103N/C  

D.A点的电势比B点的电势高

 

【答案】

B

【解析】

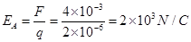
试题分析:同一个检验电荷放在AB位置时受力方向相反,所以场源电荷一定在AB之间,B正确;在A点场强为,在B点场强为,由于检验电荷的正负未知,所以无法判断点电荷电性,也就无法判断AB两点电势高低,CD错误;

考点:电场强度;电势.

 

练习册系列答案
相关习题

科目:高中物理 来源: 题型:

如图(甲)所示,在x轴上有一个点电荷Q(图中未画出),O、A、B为轴上三点.放在A、B两点的检验电荷受到的电场力跟检验电荷所带电荷量的关系如图(乙)所示.以x轴的正方向为电场力的正方向,则(  )

查看答案和解析>>

科目:高中物理 来源: 题型:

如图(甲)所示,在x轴上有一个点电荷Q(图中未画出),O、A、B为轴上三点.放在A、B两点的检验电荷受到的电场力跟检验电荷所带电荷量的关系如图(乙)所示.以x轴的正方向为电场力的正方向,则(  )

查看答案和解析>>

科目:高中物理 来源: 题型:

如图(甲)所示,在x轴上有一个点电荷Q(图中未画出),O、A、B为轴上三点.放在A、B两点的检验电荷受到的电场力跟检验电荷所带电荷量的关系如图(乙)所示.以x轴的正方向为电场力的正方向,则(  )

查看答案和解析>>

科目:高中物理 来源:2013-2014学年福建省四地六校高三上学期第三次月考物理试卷(解析版) 题型:选择题

如图(甲)所示,在x轴上有一个点电荷Q(图中未画出),O、A、B为轴上三点。放在A、B两点的检验电荷受到的电场力跟检验电荷所带电荷量的关系如图(乙)所示。以x轴的正方向为电场力的正方向,则(   )

A.点电荷Q一定为正电荷 

B.点电荷Q在AB之间

C.A点的电场强度大小为5×103N/C  

D.A点的电势比B点的电势高

 

查看答案和解析>>

科目:高中物理 来源:2012-2013学年浙江省高三上学期期中考试物理试卷(解析版) 题型:选择题

如图(甲)所示,在x轴上有一个点电荷Q(图中未画出),OAB为轴上三点。放在AB两点的检验电荷受到的电场力跟检验电荷所带电荷量的关系如图(乙)所示。以x轴的正方向为电场力的正方向,则(    )

A.点电荷Q一定为正电荷

B.点电荷Q在OA之间

C.A点的电场强度大小为2×103N/C

D.A点的电势比B点的电势高

 

查看答案和解析>>

同步练习册答案