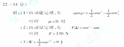
Ò»ÖÊÁ¿Îª0.5kgµÄСÎï¿é·ÅÔÚˮƽµØÃæÉϵÄAµã£¬¾àÀëAµã5mµÄλÖÃB´¦ÊÇÒ»ÃæÇ½£¬ÈçͼËùʾ¡£Îï¿éÒÔv0=9m/sµÄ³õËÙ¶È´ÓAµãÑØAB·½ÏòÔ˶¯£¬ÔÚÓëǽ±ÚÅöײǰ˲¼äµÄËÙ¶ÈΪ7m/s£¬ÅöºóÒÔ6m/sµÄËÙ¶È·´ÏòÔ˶¯Ö±ÖÁ¾²Ö¹¡£gÈ¡10m/s2.
ÇóÎï¿éÓëµØÃæ¼äµÄ¶¯Ä¦²ÁÒòÊý¦Ì£»
ÈôÅöײʱ¼äΪ0.05s£¬ÇóÅöײ¹ý³ÌÖÐÇ½Ãæ¶ÔÎï¿éƽ¾ù×÷ÓÃÁ¦µÄ´óСF£»
ÇóÎï¿éÔÚ·´ÏòÔ˶¯¹ý³ÌÖп˷þĦ²ÁÁ¦Ëù×öµÄ¹¦W¡£
![]()
| Äê¼¶ | ¸ßÖÐ¿Î³Ì | Äê¼¶ | ³õÖÐ¿Î³Ì |
| ¸ßÒ» | ¸ßÒ»Ãâ·Ñ¿Î³ÌÍÆ¼ö£¡ | ³õÒ» | ³õÒ»Ãâ·Ñ¿Î³ÌÍÆ¼ö£¡ |
| ¸ß¶þ | ¸ß¶þÃâ·Ñ¿Î³ÌÍÆ¼ö£¡ | ³õ¶þ | ³õ¶þÃâ·Ñ¿Î³ÌÍÆ¼ö£¡ |
| ¸ßÈý | ¸ßÈýÃâ·Ñ¿Î³ÌÍÆ¼ö£¡ | ³õÈý | ³õÈýÃâ·Ñ¿Î³ÌÍÆ¼ö£¡ |
¿ÆÄ¿£º¸ßÖÐÎïÀí À´Ô´£º ÌâÐÍ£º
ΪÁ˲ⶨһ¸ö¡°6.3V¡¢1W¡±µÄСµçÖéÔڶµçѹϽÏ׼ȷµÄµç×èÖµ²¢Ãè»æ¸ÃµçÖéµÄ·ü°²ÌØÐÔÇúÏߣ¬¿É¹©Ñ¡ÔñµÄÆ÷²ÄÓУº
A£®µçÁ÷±í£¨0¡«3A£¬ÄÚ×èÔ¼0.04¦¸£© B£®ºÁ°²±í£¨0¡«300mA£¬ÄÚ×èÔ¼4¦¸£©
C£®µçѹ±í£¨0¡«10V£¬ÄÚ×è10K¦¸£© D£®µçѹ±í£¨0¡«3V£¬ÄÚ×è10K¦¸£©
E£®µçÔ´£¨¶î¶¨µçѹ6V£¬×î´óÔÊÐíµçÁ÷2A£© F£®µçÔ´£¨¶î¶¨µçѹ9V£¬×î´óÔÊÐíµçÁ÷1A£©
G£®¿É±äµç×裨×èÖµ·¶Î§0¡«10¦¸£¬¶î¶¨µçÁ÷1A£©
H£®¿É±äµç×裨×èÖµ·¶Î§0¡«50¦¸£¬¶î¶¨¹¦ÂÊ0.5W£©
I£®µ¼ÏßÈô¸É¸ù£¬µç¼üÒ»¸ö£®
£¨1£©ÎªÊ¹²âÁ¿°²È«ºÍ¾¡¿ÉÄÜ׼ȷ£¬Ó¦Ñ¡ÓÃµÄÆ÷²ÄÊÇ¡¡BCFGI¡¡£®£¨ÓÃ×Öĸ´úºÅÌîд£©
£¨2£©ÇëÔÚ·½¿òÖл³öµç·ͼ£®
![]()
²é¿´´ð°¸ºÍ½âÎö>>
¿ÆÄ¿£º¸ßÖÐÎïÀí À´Ô´£º ÌâÐÍ£º
Ò»¸öÎïÌå´Ó45m¸ß´¦×ÔÓÉÏÂÂ䣬ÄÇô£º
£¨1£©¸ÃÎïÌ徶೤ʱ¼äÂäµ½µØÃ棿
£¨2£©×îºó1sµÄ³õËÙ¶ÈÊǶàÉÙ£¿
£¨3£©ÔÚ×îºó1sÄÚͨ¹ýµÄ¸ß¶ÈÊǶàÉÙ£¿£¨ gÈ¡10m/s2£©
²é¿´´ð°¸ºÍ½âÎö>>
¿ÆÄ¿£º¸ßÖÐÎïÀí À´Ô´£º ÌâÐÍ£º
ͼΪһСÇò×öƽÅ×Ô˶¯µÄÉÁ¹âÕÕÆ¬µÄÒ»²¿·Ö£®Í¼Öб³¾°·½¸ñµÄ±ß³¤¾ùΪ2.5ÀåÃ×£¬Èç¹ûÈ¡ÖØÁ¦¼ÓËÙ¶Èg=10Ã×/Ãë2£¬ÄÇô£º
£¨1£©ÕÕÆ¬µÄÉÁ¹âƵÂÊΪ¡¡10¡¡Hz£®£®
£¨2£©Ð¡Çò×öƽÅ×Ô˶¯µÄ³õËٶȵĴóСΪ¡¡0.75¡¡m/s£®
![]()
²é¿´´ð°¸ºÍ½âÎö>>
¿ÆÄ¿£º¸ßÖÐÎïÀí À´Ô´£º ÌâÐÍ£º
Ò»¸ù³¤ÎªL¡¢ºá½ØÃæ»ýΪSµÄ½ðÊô°ô£¬Æä²ÄÁϵĵç×èÂÊΪ¦Ñ£¬°ôÄÚµ¥Î»Ìå»ý×ÔÓɵç×ÓÊýΪn£¬µç×ÓµÄÖÊÁ¿Îªm£¬µçºÉÁ¿Îªe¡£ÔÚ°ôÁ½¶Ë¼ÓÉϺ㶨µÄµçѹʱ£¬°ôÄÚ²úÉúµçÁ÷£¬×ÔÓɵç×Ó¶¨ÏòÔ˶¯µÄƽ¾ùËÙ¶ÈΪv£¬Ôò½ðÊô°ôÄڵĵ糡ǿ¶È´óСΪ
A£®
B£®
C£®
D£®![]()
²é¿´´ð°¸ºÍ½âÎö>>
¿ÆÄ¿£º¸ßÖÐÎïÀí À´Ô´£º ÌâÐÍ£º
ʵÑé¹Û²ìµ½£¬¾²Ö¹ÔÚÔÈÇ¿´Å³¡ÖÐ A µãµÄÔ×Ӻ˷¢Éú¦ÂË¥±ä£¬Ë¥±ä²úÉúµÄкËÓëµç×ÓÇ¡ÔÚÖ½ÃæÄÚ×öÔÈËÙÔ²ÖÜÔ˶¯£¬Ô˶¯·½ÏòºÍ¹ì¼£Ê¾ÒâÈçͼ¡£Ôò
A.¹ì¼£ 1 Êǵç×ӵ쬴ų¡·½Ïò´¹Ö±Ö½ÃæÏòÍâ
B.¹ì¼£ 2 Êǵç×ӵ쬴ų¡·½Ïò´¹Ö±Ö½ÃæÏòÍâ
C.¹ì¼£ 1 ÊÇк˵쬴ų¡·½Ïò´¹Ö±Ö½ÃæÏòÀï
D.¹ì¼£ 2 ÊÇк˵쬴ų¡·½Ïò´¹Ö±Ö½ÃæÏòÀï
![]()
²é¿´´ð°¸ºÍ½âÎö>>
¿ÆÄ¿£º¸ßÖÐÎïÀí À´Ô´£º ÌâÐÍ£º
ÈçͼËùʾ£¬µ¯»ÉµÄÒ»¶Ë¹Ì¶¨£¬ÁíÒ»¶ËÁ¬½ÓÒ»¸öÎï¿é£¬µ¯»ÉÖÊÁ¿²»¼Æ¡£Îï¿é£¨¿É
ÊÓΪÖʵ㣩µÄÖÊÁ¿Îª m£¬ÔÚˮƽ×ÀÃæÉÏÑØ x ÖáÔ˶¯£¬Óë×ÀÃæ¼äµÄ¶¯Ä¦²ÁÒòÊýΪ µ¡£ÒÔµ¯»ÉÔ³¤Ê±Îï¿éµÄλÖÃÎª×ø±êÔµã O£¬µ±µ¯»ÉµÄÉ쳤Á¿Îª x ʱ£¬Îï¿éËùÊܵ¯»É µ¯Á¦´óСΪ F=kx,k Ϊ³£Á¿¡£
£¨1£©Ç뻳ö F Ëæ x ±ä»¯µÄʾÒâͼ£»²¢¸ù¾Ý F-x µÄͼÏñÇóÎï¿éÑØ x Öá´Ó O µãÔ˶¯µ½Î»Öà x µÄ ¹ý³ÌÖе¯Á¦Ëù×öµÄ¹¦¡£
a. Çóµ¯Á¦Ëù×öµÄ¹¦.²¢¾Ý´ËÇóµ¯ÐÔÊÆÄܵı仯Á¿£»
b. Ç󻬶¯Ä¦²ÁÁ¦Ëù×öµÄ¹¦£»²¢Ó뵯Á¦×ö¹¦±È½Ï£¬ËµÃ÷Ϊʲô²»´æÔÚÓëĦ²ÁÁ¦¶ÔÓ¦µÄ¡°Ä¦
²ÁÁ¦ÊÆÄÜ¡±µÄ¸ÅÄî¡£
![]()
![]()
²é¿´´ð°¸ºÍ½âÎö>>
¿ÆÄ¿£º¸ßÖÐÎïÀí À´Ô´£º ÌâÐÍ£º
Èçͼ£¬¿Õ¼äÓÐÒ»ÔÈÇ¿´Å³¡£¬Ò»Ö±½ðÊô°ôÓë´Å¸ÐӦǿ¶È·½Ïò´¹Ö±£¬µ±ËüÒÔËÙ¶ÈvÑØÓë°ôºÍ´Å¸ÐӦǿ¶È¶¼´¹Ö±µÄ·½ÏòÔ˶¯Ê±£¬°ôÁ½¶ËµÄ¸ÐÓ¦µç¶¯ÊÆ´óС¦Å£¬½«´Ë°ôÍä³ÉÁ½¶Î³¤¶ÈÏàµÈÇÒÏ໥´¹Ö±µÄÕÛÍ䣬ÖÃÓڴŸÐӦǿ¶ÈÏà´¹Ö±µÄÆ½ÃæÄÚ£¬µ±ËüÑØÁ½¶ÎÕÛÏß¼Ð½ÇÆ½·ÖÏߵķ½ÏòÒÔËÙ¶ÈvÔ˶¯Ê±£¬°ôÁ½¶ËµÄ¸ÐÓ¦µç¶¯ÊÆ´óСΪ
£¬Ôò
µÈÓÚ£¨ £©
![]()
A.1/2 B.
C.1 D.![]()
²é¿´´ð°¸ºÍ½âÎö>>
¿ÆÄ¿£º¸ßÖÐÎïÀí À´Ô´£º ÌâÐÍ£º
Ò»´øÓÐÆ¹ÅÒÇò·¢Éä»úµÄƹÅÒÇǫ̀ÈçͼËùʾ¡£Ë®Æ½Ì¨ÃæµÄ³¤ºÍ¿í·Ö±ðΪ
ºÍ
£¬ÖмäÇòÍø¸ß¶ÈΪ
¡£·¢Éä»ú°²×°ÓÚÌ¨Ãæ×ó²à±ßÔµµÄÖе㣬ÄÜÒÔ²»Í¬ËÙÂÊÏòÓҲ಻ͬ·½Ïòˮƽ·¢É䯹ÅÒÇò£¬·¢Éäµã¾àÌ¨Ãæ¸ß¶ÈΪ
¡£²»¼Æ¿ÕÆøµÄ×÷Óã¬ÖØÁ¦¼ÓËÙ¶È´óСΪ
¡£ÈôƹÅÒÇòµÄ·¢ÉäËÙÂÊΪ
ÔÚij·¶Î§ÄÚ£¬Í¨¹ýÑ¡ÔñºÏÊʵķ½Ïò£¬¾ÍÄÜʹƹÅÒÇòÂäµ½ÇòÍøÓÒ²àÌ¨ÃæÉÏ£¬Ôò
µÄ×î´óȡֵ·¶Î§ÊÇ £¨ £©
![]()
A£®![]()
B£®![]()
C£®![]()
D£®![]()
²é¿´´ð°¸ºÍ½âÎö>>
¹ú¼ÊѧУÓÅÑ¡ - Á·Ï°²áÁбí - ÊÔÌâÁбí
ºþ±±Ê¡»¥ÁªÍøÎ¥·¨ºÍ²»Á¼ÐÅÏ¢¾Ù±¨Æ½Ì¨ | ÍøÉÏÓк¦ÐÅÏ¢¾Ù±¨×¨Çø | µçÐÅթƾٱ¨×¨Çø | ÉæÀúÊ·ÐéÎÞÖ÷ÒåÓк¦ÐÅÏ¢¾Ù±¨×¨Çø | ÉæÆóÇÖȨ¾Ù±¨×¨Çø
Î¥·¨ºÍ²»Á¼ÐÅÏ¢¾Ù±¨µç»°£º027-86699610 ¾Ù±¨ÓÊÏ䣺58377363@163.com