ÈçͼËùʾ£¬ÎªÄ³ÖÖ͸Ã÷½éÖʵĽØÃæÍ¼£¬¡÷AOCΪµÈÑüÖ±½ÇÈý½ÇÐΣ¬BCΪ°ë¾¶R£½10 cmµÄËÄ·ÖÖ®Ò»Ô²»¡£¬ABÓëˮƽÆÁÄ»MN´¹Ö±²¢½Ó´¥ÓÚAµã¡£Óɺì¹âºÍ×ϹâÁ½ÖÖµ¥É«¹â×é³ÉµÄ¸´É«¹âÉäÏòÔ²ÐÄO£¬ÔÚAB·Ö½çÃæÉϵÄÈëÉä½Çi£½45¡ã£¬½á¹ûÔÚˮƽÆÁÄ»MNÉϳöÏÖÁ½¸öÁÁ°ß¡£ÒÑÖª¸Ã½éÖʶԺì¹âºÍ×ϹâµÄÕÛÉäÂÊ·Ö±ðΪn1£½£¬n2£½¡£
(1)ÅжÏÔÚAMºÍANÁ½´¦²úÉúÁÁ°ßµÄÑÕÉ«£»
(2)ÇóÁ½¸öÁÁ°ß¼äµÄ¾àÀë¡£
½â£º(1)Éèºì¹âºÍ×ϹâµÄÁÙ½ç½Ç·Ö±ðΪC1¡¢C2
sinC1£½£¬C1£½60¡ã
ͬÀíC2£½45¡ã
i£½45¡ã£½C2£¬i£½45¡ã£¼C1£¬ËùÒÔ×ϹâÔÚABÃæ·¢ÉúÈ«·´É䣬¶øºì¹âÔÚABÃæÒ»²¿·ÖÕÛÉ䣬һ²¿·Ö·´É䣬ÇÒÓɼ¸ºÎ¹ØÏµ¿ÉÖª£¬·´Éä¹âÏßÓëAC´¹Ö±£¬ËùÒÔÔÚAM´¦²úÉúµÄÁÁ°ßP1ΪºìÉ«£¬ÔÚAN´¦²úÉúµÄÁÁ°ßP2ΪºìÉ«Óë×ÏÉ«µÄ»ìºÏÉ«
(2)»­³öÈçͼ¹â·ͼ

ÉèÕÛÉä½ÇΪr£¬Á½¸ö¹â°ß·Ö±ðΪP1¡¢P2
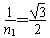
¸ù¾ÝÕÛÉ䶨ÂÉn1£½
ÇóµÃsinr£½
Óɼ¸ºÎ֪ʶ¿ÉµÃ£ºtanr£½
½âµÃAP1£½5 cm
Óɼ¸ºÎ֪ʶ¿ÉµÃ¦¤OAP2ΪµÈÑüÖ±½ÇÈý½ÇÐΣ¬½âµÃAP2£½10 cm
ËùÒÔP1P2£½(5£«10) cm
Á·Ï°²áϵÁдð°¸
Ïà¹ØÏ°Ìâ

¿ÆÄ¿£º¸ßÖÐÎïÀí À´Ô´£º ÌâÐÍ£º

£¨2013?ºþÄÏÄ£Ä⣩ÈçͼËùʾ£¬ÎªÄ³ÖÖ͸Ã÷½éÖʵĽØÃæÍ¼£¬¡÷AOCΪµÈÑüÖ±½ÇÈý½ÇÐΣ¬BCΪ°ë¾¶R=12cmµÄËÄ·ÖÖ®Ò»Ô²»¡£¬ABÓëˮƽÆÁÄ»MN´¹Ö±²¢½Ó´¥ÓÚAµã£®Ò»Êøºì¹âÉäÏòÔ²ÐÄO£¬ÔÚAB·Ö½çÃæÉϵÄÈëÉä½Çi=45¡ã£¬½á¹ûÔÚˮƽÆÁÄ»MNÉϳöÏÖÁ½¸öÁÁ°ß£®ÒÑÖª¸Ã½éÖʶԺì¹âµÄÕÛÉäÂÊΪn=
2
3
3
£¬ÇóÁ½¸öÁÁ°ßÓëAµã¼äµÄ¾àÀ룮

²é¿´´ð°¸ºÍ½âÎö>>

¿ÆÄ¿£º¸ßÖÐÎïÀí À´Ô´£º ÌâÐÍ£º

¾«Ó¢¼Ò½ÌÍø[ÎïÀí--Ñ¡ÐÞ3-4]
£¨1£©¹ØÓÚÕñ¶¯ºÍ²¨¶¯£¬ÏÂÁÐ˵·¨ÕýÈ·µÄÊÇ
 

A£®µ¥°Ú×ö¼òгÔ˶¯µÄÖÜÆÚÓë°ÚÇòµÄÖÊÁ¿ÓйØ
B£®²¿¶Ó¹ýÇŲ»ÄÜÆë²½×ß¶øÒª±ã²½×ߣ¬ÊÇΪÁ˱ÜÃâÇÅÁº·¢Éú¹²ÕñÏÖÏó
C£®ÔÚ²¨µÄ¸ÉÉæÖУ¬Õñ¶¯¼ÓÇ¿µÄµãÎ»ÒÆ²»Ò»¶¨Ê¼ÖÕ×î´ó
D£®¸÷ÖÖ²¨¾ù»á·¢ÉúÆ«ÕñÏÖÏó
E£®ÎÒÃÇÔÚµØÇòÉϽÓÊÕµ½À´×ÔÒ£Ô¶ÐÇÇòµÄ¹â²¨µÄ²¨³¤±ä³¤£¬¿ÉÒÔÅжϸÃÐÇÇòÕýÔÚ¾àÀëÎÒÃÇÔ¶È¥
£¨2£©ÈçͼËùʾ£¬ÎªÄ³ÖÖ͸Ã÷½éÖʵĽØÃæÍ¼£¬¡÷AOCΪµÈÑüÖ±½ÇÈý½ÇÐΣ¬BCΪ°ë¾¶R=12cmµÄËÄ·ÖÖ®Ò»Ô²»¡£¬ABÓëˮƽÆÁÄ»MN´¹Ö±²¢½Ó´¥ÓÚAµã£®Óɺì¹âºÍ×ϹâÁ½ÖÖµ¥É«¹â×é³ÉµÄ¸´É«¹âÉäÏòÔ²ÐÄO£¬ÔÚAB·Ö½çÃæÉϵÄÈëÉä½Çi=45¡ã£¬½á¹ûÔÚˮƽÆÁÄ»MNÉϳöÏÖÁ½¸öÁÁ°ß£®ÒÑÖª¸Ã½éÖʶԺì¹âºÍ×ϹâµÄÕÛÉäÂÊ·Ö±ðΪn1=
2
3
3
£¬n2=
2
£®
¢ÙÅжÏÔÚAMºÍANÁ½´¦²úÉúÁÁ°ßµÄÑÕÉ«£»
¢ÚÇóÁ½¸öÁÁ°ß¼äµÄ¾àÀ룮

²é¿´´ð°¸ºÍ½âÎö>>

¿ÆÄ¿£º¸ßÖÐÎïÀí À´Ô´£º2012½ìºþ±±°ËУ¸ßÈýÏÂѧÆÚµÚ¶þ´ÎÁª¿¼ÎïÀí¾í£¨´ø½âÎö£© ÌâÐÍ£º¼ÆËãÌâ

ÈçͼËùʾ£¬ÎªÄ³ÖÖ͸Ã÷½éÖʵĽØÃæÍ¼£¬¡÷AOCΪµÈÑüÖ±½ÇÈý½ÇÐΣ¬BCΪ°ë¾¶R=12cmµÄËÄ·ÖÖ®Ò»Ô²»¡£¬ABÓëˮƽÆÁÄ»MN´¹Ö±²¢½Ó´¥ÓÚAµã£®Óɺì¹âºÍ×ϹâÁ½ÖÖµ¥É«¹â×é³ÉµÄ¸´É«¹âÉäÏòÔ²ÐÄO£¬ÔÚAB·Ö½çÃæÉϵÄÈëÉä½Çi=45¡ã£¬½á¹ûÔÚˮƽÆÁÄ»MNÉϳöÏÖÁ½¸öÁÁ°ß£®ÒÑÖª¸Ã½éÖʶԺì¹âºÍ×ϹâµÄÕÛÉäÂÊ·Ö±ðΪ£¬£®

¢ÙÅжÏÔÚAMºÍANÁ½´¦²úÉúÁÁ°ßµÄÑÕÉ«£»
¢ÚÇóÁ½¸öÁÁ°ß¼äµÄ¾àÀ룮

²é¿´´ð°¸ºÍ½âÎö>>

¿ÆÄ¿£º¸ßÖÐÎïÀí À´Ô´£º2012-2013ѧÄêºþ±±Ê¡Ê¦´óÒ»¸½ÖиßÈýÎåÔÂÄ£Ä⿼ÊÔÀí×ÛÎïÀíÊÔ¾í£¨½âÎö°æ£© ÌâÐÍ£º¼ÆËãÌâ

ÈçͼËùʾ£¬ÎªÄ³ÖÖ͸Ã÷½éÖʵĽØÃæÍ¼£¬¡÷AOCΪµÈÑüÖ±½ÇÈý½ÇÐΣ¬BCΪ°ë¾¶R=12 cmµÄËÄ·ÖÖ®Ò»Ô²»¡£¬ABÓëˮƽÆÁÄ»MN´¹Ö±²¢½Ó´¥ÓÚAµã£®Ò»Êøºì¹âÉäÏòÔ²ÐÄO£¬ÔÚAB·Ö½çÃæÉϵÄÈëÉä½Çi=45o£¬½á¹ûÔÚˮƽÆÁÄ»MNÉϳöÏÖÁ½¸öÁÁ°ß¡£ÒÑÖª¸Ã½éÖʶԺì¹âµÄÕÛÉäÂÊΪn=£¬ÇóÁ½¸öÁÁ°ßÓëAµã¼äµÄ¾àÀë¡£

 

 

²é¿´´ð°¸ºÍ½âÎö>>

¿ÆÄ¿£º¸ßÖÐÎïÀí À´Ô´£º2012Äêɽ¶«Ê¡¼ÃÄþÊиßÒ»3ÔÂÔ¿¼ÎïÀí¾í ÌâÐÍ£º¼ÆËãÌâ

ÈçͼËùʾ£¬ÎªÄ³ÖÖ͸Ã÷½éÖʵĽØÃæÍ¼£¬¡÷AOCΪµÈÑüÖ±½ÇÈý½ÇÐΣ¬BCΪ°ë¾¶R=12cmµÄËÄ·ÖÖ®Ò»Ô²»¡£¬ABÓëˮƽÆÁÄ»MN´¹Ö±²¢½Ó´¥ÓÚAµã£®Óɺì¹âºÍ×ϹâÁ½ÖÖµ¥É«¹â×é³ÉµÄ¸´É«¹âÉäÏòÔ²ÐÄO£¬ÔÚAB·Ö½çÃæÉϵÄÈëÉä½Çi=45¡ã£¬½á¹ûÔÚˮƽÆÁÄ»MNÉϳöÏÖÁ½¸öÁÁ°ß£®ÒÑÖª¸Ã½éÖʶԺì¹âºÍ×ϹâµÄÕÛÉäÂÊ·Ö±ðΪ£¬£®

¢ÙÅжÏÔÚAMºÍANÁ½´¦²úÉúÁÁ°ßµÄÑÕÉ«£»

¢ÚÇóÁ½¸öÁÁ°ß¼äµÄ¾àÀ룮

 

²é¿´´ð°¸ºÍ½âÎö>>

ͬ²½Á·Ï°²á´ð°¸