ÓÐһ̨ÄÚ×èΪ1¦¸µÄÌ«ÑôÄÜ·¢µç»ú£¬¹©¸øÒ»¸öѧУÕÕÃ÷Óõ磮ÈçͼËùʾ£¬Éýѹ±äѹÆ÷ÔÑÊý±ÈΪ1¡Ã4£¬½µÑ¹±äѹÆ÷µÄÔÑÊý±ÈΪ4¡Ã1£¬ÊäµçÏßµÄ×ܵç×èR=4¦¸£¬È«Ð£¹²22¸ö°à£¬Ã¿°àÓС°220V£¬40W¡±µÄµçµÆ6Õµ£¬ÈôÈ«²¿µçµÆÕý³£·¢¹â£¬Ôò£º

(1)·¢µç»úÊä³ö¹¦ÂÊΪ¶à´ó?

(2)·¢µç»úµç¶¯ÊÆÎª¶à´ó?

(3)Êäµç¹¦ÂÊÊǶàÉÙ?

(4)ÈôʹµçµÆÊý¼õ°ë²¢Õý³£·¢¹â£¬·¢µç»úÊä³ö¹¦ÂÊÊÇ·ñ¼õ°ë?(Ìî¡°ÊÇ¡±»ò¡°²»ÊÇ¡±)

´ð°¸£º5424W;250V;97%;²»ÊÇ
½âÎö£º

½â£º¢Ù·¢µç»úµÄÊä³ö¹¦ÂÊӦΪ¸ºÔØÏûºÄµÄ¹¦ÂÊÓëÊäµçÏßµç×èÏûºÄµÄ¹¦ÂÊÖ®ºÍ£¬¼´£¬¶ø£¬

ËùÒÔ£®

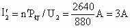
¢Ú£¬rΪ·¢µç»úÄÚ×裬

£¬£¬£¬

ËùÒÔ£®

¢Û£®

¢ÜµçµÆÊý¼õÉÙÒ»°ëʱ£¬£¬

£¬ËùÒÔ

£¬¼´Êä³ö¹¦Âʲ»ÊÇÔ­À´µÄÒ»°ë£®


Á·Ï°²áϵÁдð°¸
Ïà¹ØÏ°Ìâ

¿ÆÄ¿£º¸ßÖÐÎïÀí À´Ô´£º ÌâÐÍ£ºÔĶÁÀí½â

£¨1£©£¨6·Ö£©Ä³ÊµÑéС×éµÄͬѧ׼±¸ÔÚѧУʵÑéÊҲⱾµØÖØÁ¦¼ÓËÙ¶È£¬Í¬Ê±ÑéÖ¤µ¥°ÚµÄÖÜÆÚÓë°ÚÇòµÄÖÊÁ¿Î޹أ®ÊµÑéÊÒÆ÷²ÄÓУºÌú¼Ų̈¡¢³¤Ô¼1mµÄϸÏß¡¢¿Ì¶È³ß¡¢ÌìÆ½¡¢íÀÂëºÐÀïÖÊÁ¿²»µÈµÄíÀÂë¶à¸ö£¨Ã¿¸ö²»Í¬ÖÊÁ¿íÀÂëµÄÖØÐÄλÖò»Í¬£©¡¢Ãë±í£®ÊµÑéС×éµÄͬѧÓÃíÀÂë´úÌæµ¥°ÚµÄ°ÚÇò£®
ʵÑé²½ÖèÊÇ£º
A£®Ñ¡Ò»¸öíÀÂ룬¼Ç¼¸ÃíÀÂëµÄÖÊÁ¿m£¬ÓÃϸÏßϵºÃíÀÂ룬½áµãΪP£¬Ï¸ÏßµÄÉ϶˹̶¨ÓÚÌú¼Ų̈Ìú¼ÐÉϵÄOµã£»
B£® Óÿ̶ȳ߲âO¡¢PÖ®¼äϸÏߵij¤¶Èl£¬²â³öPµãµ½íÀÂ뼸ºÎÖÐÐĵľàÀëd£¬ÉèL=l+d£»
C£®½«íÀÂëÀ­¿ªÒ»¸ö´óÔ¼30¡ãµÄ½Ç¶È£¬È»ºóÓɾ²Ö¹ÊÍ·Å£»
D£®ÓÃÃë±í²â³ö50´ÎÈ«Õñ¶¯µÄʱ¼ät£¬ÓÉT=
t
50
µÃµ½ÖÜÆÚT£»
E£®¸Ä±äO¡¢PÖ®¼äµÄϸÏߵij¤¶È£¬ÔÙ²âÒ»´Î£¬¼ÇÏÂÏàÓ¦µÄLºÍT£»
F£®Çó³öÁ½´Î²âµÃµÄLºÍTµÄƽ¾ùÖµ£¬×÷Ϊ´úÈ빫ʽg=£¨
2¦Ð
T
£©2L¼ÆËãʹÓõÄÊý¾Ý£¬ÇóµÃ±¾µØÖØÁ¦¼ÓËÙ¶Èg£»
G£®Ñ¡Óò»Í¬µÄíÀÂ룬¼Ç¼²»Í¬íÀÂëµÄÖÊÁ¿m£¬²â³öʹÓò»Í¬íÀÂëʱµÄÖÜÆÚT£»¿´ÖÜÆÚTÊÇ·ñÓÉÓÚm²»Í¬¶ø²»Í¬£®
ÄãÈÏΪÒÔÉÏÄÄЩ²½ÖèÓÐ´í£¬·Ö±ðд³ö²½ÖèǰµÄ×ÖĸÐòºÅ²¢¼ÓÒÔ¸ÄÕý£¿
CÓÐ´í£¬´íÔÚÀ­¿ªµÄ½Ç¶ÈÌ«´ó£¬À­¿ªµÄ½Ç¶ÈÓ¦¸Ã²»´óÓÚ5¡ã£»
FÓÐ´í£¬´íÔÚ²»Ó¦¸ÃÇóLºÍTµÄƽ¾ùÖµ£¬Ó¦¸Ã·Ö±ð½«LºÍT´úÈ빫ʽg=(
2¦Ð
T
)2L
£¬Çó³öÖØÁ¦¼ÓËÙ¶Èg£¬ÇógµÄƽ¾ùÖµ£»
GÓÐ´í£¬´íÔÚûÓб£Ö¤ÔÚÏàͬÌõ¼þÏ£¬Ó¦¸Ã±£³ÖLÏàͬ£¬²â³öʹÓò»Í¬íÀÂëʱµÄÖÜÆÚT£®
CÓÐ´í£¬´íÔÚÀ­¿ªµÄ½Ç¶ÈÌ«´ó£¬À­¿ªµÄ½Ç¶ÈÓ¦¸Ã²»´óÓÚ5¡ã£»
FÓÐ´í£¬´íÔÚ²»Ó¦¸ÃÇóLºÍTµÄƽ¾ùÖµ£¬Ó¦¸Ã·Ö±ð½«LºÍT´úÈ빫ʽg=(
2¦Ð
T
)2L
£¬Çó³öÖØÁ¦¼ÓËÙ¶Èg£¬ÇógµÄƽ¾ùÖµ£»
GÓÐ´í£¬´íÔÚûÓб£Ö¤ÔÚÏàͬÌõ¼þÏ£¬Ó¦¸Ã±£³ÖLÏàͬ£¬²â³öʹÓò»Í¬íÀÂëʱµÄÖÜÆÚT£®
£®
£¨2£©Ä³Í¬Ñ§ÎªÁËÃè»æÒ»¸ö¡°6V£¬9W¡±µÄСµÆÅݵķü°²ÌØÐÔÇúÏߣ¬²¢²â³ö¸ÃСµÆÅÝÔڶµçѹϵÄ׼ȷµç×èÖµ£¬µ½ÊµÑéÊÒѰÕÒµ½ÁËһЩÒÇÆ÷£¬¹æ¸ñ¼°ÊýÁ¿ÈçÏ£º
A£®µçÁ÷±íÒ»Ö»£¨0¡«3A£¬ÄÚ×èԼΪ0.5¦¸£©
B£®µçѹ±íÒ»Ö»£¨0¡«3V£¬ÄÚ×èRV=3k¦¸£©
C£®¶¨Öµµç×èR0=4k¦¸
D£®»¬¶¯±ä×èÆ÷R1£¨0¡«5¦¸£¬¶î¶¨µçÁ÷Ϊ0.6A£©
E£®»¬¶¯±ä×èÆ÷R2£¨0¡«10¦¸£¬¶î¶¨µçÁ÷Ϊ3A£©
F£®9VÖ±Á÷µçÔ´Ò»¸ö
G£®¿ª¹Ø¡¢µ¼ÏßÈô¸É£¬´ý²âµÆÅÝÒ»¸ö
ÕâλͬѧÀûÓÃÏÖÓÐÆ÷²Ä£¬½áºÏËùѧ֪ʶ£¬Ë³ÀûÍê³ÉÁËʵÑ飮
¢Ù¸ÃͬѧÔÚʵÑéÖ묶¯±ä×èÆ÷ӦѡÓÃÊÇ
E
E
£¨ÌîÆ÷²ÄÐòºÅ×Öĸ£©£»
¢ÚÇëÔÚÐéÏß¿òÖл­³öʵÑéµç·ͼ£®
¢Û°´ÕÕµç·Éè¼Æ£¬²âÁ¿Ð¡µÆÅÝÔڶµçѹϵÄ׼ȷµç×èֵʱ£¬µçѹ±íµÄʾÊýΪU£¬µçÁ÷±íµÄʾÊýΪI£®Ð¡µÆÅÝÔڶµçѹϵÄ׼ȷµç×èÖµµÄ±í´ïʽÊÇ
U(RV+R0)
IRV-U
U(RV+R0)
IRV-U
£¨ÎïÀíÁ¿¾ùÓÃËù¸ø×Öĸ±íʾ£©

²é¿´´ð°¸ºÍ½âÎö>>