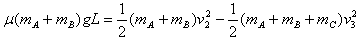
ÈçͼËùʾ£¬¹Ì¶¨ÔÚµØÃæÉϵĹ⻬Բ»¡ÃæÓë³µCµÄÉϱíÃæÆ½»¬Ïà½Ó£¬ÔÚÔ²»¡ÃæÉÏÓÐÒ»¸ö»¬¿éA£¬ÆäÖÊÁ¿ÎªmA=2kg£¬Ôھ೵µÄË®Æ½Ãæ¸ßh=1.25m´¦Óɾ²Ö¹Ï»¬£¬³µCµÄÖÊÁ¿ÎªmC=6kg£¬ÔÚ³µCµÄ×ó¶ËÓÐÒ»¸öÖÊÁ¿mB=2kgµÄ»¬¿éB£¬»¬¿éAÓëB¾ù¿É¿´×÷Öʵ㣬»¬¿éAÓëBÅöײºóÕ³ºÏÒ»Æð¹²Í¬Ô˶¯£¬×îÖÕûÓдӳµCÉÏ»¬³ö£¬ÒÑÖª»¬¿éAºÍBÓë³µCµÄ¶¯Ä¦²ÁÒòÊý¾ùΪ£¬³µCÓëˮƽµØÃæµÄĦ²ÁºöÂÔ²»¼Æ¡£È¡g= 10m/s2¡£Çó£º
£¨1£©»¬¿éA»¬µ½Ô²»¡ÃæÄ©¶ËʱµÄËÙ¶È´óС£»
£¨2£©»¬¿éAÓëBÅöײºó˲¼äµÄ¹²Í¬ËٶȵĴóС£»
£¨3£©³µCµÄ×î¶Ì³¤¶È¡£
½â£º£¨1£©É軬¿éA»¬µ½Ô²»¡Î´¶ËʱµÄËÙ¶È´óСΪv1£¬ÓÉ»úеÄÜÊØºã¶¨ÂÉÓÐ
¢Ù
´úÈëÊý¾Ý½âµÃ¢Ú
£¨2£©ÉèA¡¢BÅöºó˲¼äµÄ¹²Í¬ËÙ¶ÈΪv2£¬»¬¿éAÓëBÅöײ˲¼äÓë³µCÎ޹أ¬»¬¿éAÓëB×é³ÉµÄϵͳ¶¯Á¿Êغã
 ¢Û
´úÈëÊý¾Ý½âµÃ¢Ü
£¨3£©Éè³µCµÄ×î¶Ì³¤¶ÈΪL£¬»¬¿éAÓëB×îÖÕûÓдӳµCÉÏ»¬³ö£¬ÈýÕß×îÖÕËÙ¶ÈÏàͬÉèΪv3
¸ù¾Ý¶¯Á¿Êغ㶨ÂÉÓТÝ
¸ù¾ÝÄÜÁ¿Êغ㶨ÂÉÓТÞ
ÁªÁ¢¢Ý¢Þʽ´úÈëÊý¾Ý½âµÃm¢ß
Á·Ï°²áϵÁдð°¸
Ïà¹ØÏ°Ìâ

¿ÆÄ¿£º¸ßÖÐÎïÀí À´Ô´£º ÌâÐÍ£º

ÈçͼËùʾ£¬¹Ì¶¨ÔÚµØÃæÉÏµÄ¹â»¬Ð±Ãæ¶¥¶Ë¹Ì¶¨Ò»µ¯»É£®Ò»ÎïÌåÏòÓÒ»¬ÐУ¬³åÉÏÐ±Ãæ²¢Ñ¹Ëõµ¯»É£®ÉèÎïÌåͨ¹ýÐ±Ãæ×îµÍµãAʱµÄËÙ¶ÈΪv£¬Ñ¹Ëõµ¯»ÉÖÁCµãʱµ¯»É×î¶Ì£¬Cµã¾àµØÃæ¸ß¶ÈΪh£¬Ôòµ¯»É±»Ñ¹ËõÖÁ×î¶Ìʱ¾ßÓеĵ¯ÐÔÊÆÄÜΪ  £¨¡¡¡¡£©

²é¿´´ð°¸ºÍ½âÎö>>

¿ÆÄ¿£º¸ßÖÐÎïÀí À´Ô´£º ÌâÐÍ£º

¾«Ó¢¼Ò½ÌÍøÈçͼËùʾ£¬¹Ì¶¨ÔÚÔÈÇ¿´Å³¡ÖеÄˮƽµ¼¹ìab¡¢cdµÄ¼ä¾àL1=0.5m£¬½ðÊô°ôadÓëµ¼¹ì×ó¶ËbcµÄ¾àÀëL2=0.8m£¬Õû¸ö±ÕºÏ»ØÂ·µÄµç×èΪR=0.2¦¸£¬ÔÈÇ¿´Å³¡µÄ·½ÏòÊúÖ±ÏòÏ´©¹ýÕû¸ö»ØÂ·£®ad¸Ëͨ¹ýϸÉþ¿ç¹ý¶¨»¬ÂÖ½ÓÒ»¸öÖÊÁ¿m=0.04kgµÄÎïÌ壬²»¼ÆÒ»ÇÐĦ²Á£®ÏÖʹ´Å¸ÐӦǿ¶È´ÓÁ㿪ʼÒÔ
¡÷B¡÷t
=0.2T/S µÄ±ä»¯ÂʾùÔȵØÔö´ó£¬Çó¾­¹ý¶à³¤Ê±¼äÎïÌåm¸ÕºÃÄÜÀ뿪µØÃ棿£¨gÈ¡10m/s2£©

²é¿´´ð°¸ºÍ½âÎö>>

¿ÆÄ¿£º¸ßÖÐÎïÀí À´Ô´£º ÌâÐÍ£º

ÈçͼËùʾ£¬¹Ì¶¨ÔÚË®Æ½ÃæÉϵÄÐ±ÃæÓëË®Æ½ÃæµÄÁ¬½Ó´¦ÎªÒ»¼«Ð¡µÄ¹â»¬Ô²»¡£¨Îï¿é¾­¹ýQµãʱ²»Ëðʧ»úеÄÜ£©£¬Ð±ÃæÓëµØÃæÊÇÓÃͬÖÖ²ÄÁÏÖÆ³ÉµÄ£®Ð±ÃæµÄ×î¸ßµãΪP£¬P¾àÀëË®Æ½ÃæµÄ¸ß¶ÈΪh=5m£®ÔÚPµãÏȺóÓɾ²Ö¹ÊÍ·ÅÁ½¸ö¿ÉÊÓΪÖʵãµÄСÎï¿éAºÍB£¬A¡¢BµÄÖÊÁ¿¾ùΪm=1kg£¬AÓëÐ±Ãæ¼°Ë®Æ½ÃæµÄ¶¯Ä¦²ÁÒòÊýΪ¦Ì1=0.5£¬BÓëÐ±Ãæ¼°Ë®Æ½ÃæµÄ¶¯Ä¦²ÁÒòÊýΪ¦Ì2=0.3£®AÎï¿é´ÓPµãÓɾ²Ö¹ÊͷźóÑØÐ±Ãæ»¬Ï£¬Í£ÔÚÁËË®Æ½ÃæÉϵÄij´¦£®¾«Ó¢¼Ò½ÌÍø
Ç󣺣¨1£©AÎï¿éÍ£Ö¹Ô˶¯µÄλÖþàÀëÐ±ÃæµÄÖ±½Ç¶¥¶ËOµãµÄ¾àÀëÊǶàÉÙ£¿
£¨2£©µ±AÎï¿éÍ£Ö¹Ô˶¯ºó×¼±¸ÔÙÊÍ·ÅBÎï¿éʱ·¢ÏÖËüÃÇ¿ÉÄܻᷢÉúÅöײ£¬ÎªÁ˱ÜÃâABÅöײ£¬´Ëʱ¶ÔAÁíÍâÊ©¼ÓÁËÒ»¸öˮƽÏòÓÒµÄÍâÁ¦F£¬°ÑAÎïÌåÍÆµ½Á˰²È«µÄλÖã¬Ö®ºóÔÙÊÍ·ÅB¾Í±ÜÃâÁËABÅöײ£®ÇóÍâÁ¦FÖÁÉÙÒª×ö¶àÉÙ¹¦£¬¿ÉʹAB²»Ïàײ£¿£¨gÈ¡10m/s2£¬´ËÎʽá¹û±£ÁôÈýλÓÐЧÊý×Ö£©

²é¿´´ð°¸ºÍ½âÎö>>

¿ÆÄ¿£º¸ßÖÐÎïÀí À´Ô´£º2013-2014ѧÄêºÓÄÏÊ¡ÖÜ¿ÚÊÐÓ¢ÎÄѧУ¸ßÈýÉÏѧÆÚµÚÈý´ÎÔ¿¼ÎïÀíÊÔ¾í£¨½âÎö°æ£© ÌâÐÍ£º¼ÆËãÌâ

ÈçͼËùʾ£¬¹Ì¶¨ÔÚË®Æ½ÃæÉϵÄÐ±ÃæÓëË®Æ½ÃæµÄÁ¬½Ó´¦ÎªÒ»¼«Ð¡µÄ¹â»¬Ô²»¡(Îï¿é¾­¹ýQµãʱ²»Ëðʧ»úеÄÜ)£¬Ð±ÃæÓëµØÃæÊÇÓÃͬÖÖ²ÄÁÏÖÆ³ÉµÄ¡£Ð±ÃæµÄ×î¸ßµãΪP£¬P¾àÀëË®Æ½ÃæµÄ¸ß¶ÈΪh=5m¡£ÔÚPµãÏȺóÓɾ²Ö¹ÊÍ·ÅÁ½¸ö¿ÉÊÓΪÖʵãµÄСÎï¿éAºÍB£¬A¡¢BµÄÖÊÁ¿¾ùΪm=1kg£¬AÓëÐ±Ãæ¼°Ë®Æ½ÃæµÄ¶¯Ä¦²ÁÒòÊýΪ¦Ì1=0.5£¬BÓëÐ±Ãæ¼°Ë®Æ½ÃæµÄ¶¯Ä¦²ÁÒòÊýΪ¦Ì2=0.3¡£AÎï¿é´ÓPµãÓɾ²Ö¹ÊͷźóÑØÐ±Ãæ»¬Ï£¬Í£ÔÚÁËË®Æ½ÃæÉϵÄij´¦¡£

Çó£º

(1)AÎï¿éÍ£Ö¹Ô˶¯µÄλÖþàÀëÐ±ÃæµÄÖ±½Ç¶¥¶ËOµãµÄ¾àÀëÊǶàÉÙ?

(2)µ±AÎï¿éÍ£Ö¹Ô˶¯ºó×¼±¸ÔÙÊÍ·ÅBÎï¿éʱ·¢ÏÖËüÃÇ¿ÉÄܻᷢÉúÅöײ£¬ÎªÁ˱ÜÃâABÅöײ£¬´Ëʱ¶ÔAÁíÍâÊ©¼ÓÁËÒ»¸öˮƽÏòÓÒµÄÍâÁ¦F£¬°ÑAÎïÌåÍÆµ½Á˰²È«µÄλÖã¬Ö®ºóÔÙÊÍ·ÅB¾Í±ÜÃâÁËABÅöײ¡£ÇóÍâÁ¦FÖÁÉÙÒª×ö¶àÉÙ¹¦£¬¿ÉʹAB²»Ïàײ?(gÈ¡10m/s2£¬´ËÎʽá¹û±£ÁôÈýλÓÐЧÊý×Ö)

 

²é¿´´ð°¸ºÍ½âÎö>>

¿ÆÄ¿£º¸ßÖÐÎïÀí À´Ô´£º2010-2011ѧÄêÕ㽭ʡ̨ÖÝÊиßÈýÉÏѧÆÚÆÚÄ©¿¼ÊÔÎïÀíÊÔ¾í ÌâÐÍ£ºÑ¡ÔñÌâ

ÈçͼËùʾ£¬¹Ì¶¨ÔÚµØÃæÉÏµÄ¹â»¬Ð±Ãæ¶¥¶Ë¹Ì¶¨Ò»µ¯»É£®Ò»ÎïÌåÏòÓÒ»¬ÐУ¬³åÉÏÐ±Ãæ²¢Ñ¹Ëõµ¯»É£®ÉèÎïÌåͨ¹ýÐ±Ãæ×îµÍµãAʱµÄËÙ¶ÈΪv£¬Ñ¹Ëõµ¯»ÉÖÁCµãʱµ¯»É×î¶Ì£¬Cµã¾àµØÃæ¸ß¶ÈΪh£¬Ôòµ¯»É±»Ñ¹ËõÖÁ×î¶Ìʱ¾ßÓеĵ¯ÐÔÊÆÄÜΪ 

 

 
 A£®mgh£­ mv2          B£®mv2£­mgh

 C£®£­mgh                   D£®£­(mgh£«mv2)

 

²é¿´´ð°¸ºÍ½âÎö>>

ͬ²½Á·Ï°²á´ð°¸