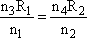
Óм×ÒÒÁ½¸ö²»Í¬µÄµçÁ÷±í£¬Ã¿¸ö±íµÄÖ¸ÕëÆ«×ªÓëµçÁ÷³ÉÕý±ÈÇҿ̶ȾùÔÈ£®°Ñ×èֵΪR1µÄµç×èÓë¼×±í´®Áª£¬×èֵδ֪µÄÁíÒ»µç×èÓëÒÒ±í´®Áª£¬°Ñ¸Ä×°ºóµÄ¼×¡¢ÒÒÁ½¸öµçÁ÷±í´®Áª£¬½Óµ½µç·A¡¢BµÄÁ½¶Ë£¬Èçͼ(1)Ëùʾ£¬·¢Ïּס¢ÒÒÁ½±íµÄÖ¸ÕëÆ«×ª¸ñÊý·Ö±ðÊÇn1¡¢n2£¬È»ºó½«ÕâÁ½¸ö±í²¢Áª£¬ÔÙ½Óµ½µç·A¡¢BµÄÁ½¶Ë£¬Èçͼ(2)Ëùʾ£¬·¢Ïּס¢ÒÒÁ½±íµÄÖ¸ÕëÆ«×ª¸ñÊý·Ö±ðÊÇn3¡¢n4£¬ÊÔÇóµç×èR2µÄ×èÖµ£®

´ð°¸£º
½âÎö£º

¡¡¡¡µÚÒ»ÖÖÇé¿öÖУ¬ÓÉÓÚÁ½±í´®Áª£¬Òò´ËËüÃǵĶÁÊýÏàµÈ£¬¼´ÓÐI1£½I2£®Éè¼×ÒÒÁ½±íÖ¸Õëÿƫתһ¸ñ£¬±íʾµÄµçÁ÷·Ö±ðΪI01¡¢I02£¬ÔòÓУº¡¡¢Ù

¡¡¡¡ÔÚµÚ¶þÖÖÇé¿öÏ£¬¼×ÒÒÁ½±íµÄ¶ÁÊý·Ö±ðΪI3¡¢I4ÔòÓУº£¬¡¡¢Ú

¡¡¡¡Á½Ê½Ïà±ÈµÃ£º£¬¿É½âµÃ£º


Á·Ï°²áϵÁдð°¸
Ïà¹ØÏ°Ìâ

¿ÆÄ¿£º¸ßÖÐÎïÀí À´Ô´£º ÌâÐÍ£º

£¨2009?ÉϺ£Ä£Ä⣩ÈçͼËùʾΪijͬѧʵÑéµÃµ½µÄСµÆÅݵÆË¿µç×èµÄU-I¹ØÏµÇúÏßͼ£®
£¨1£©ÔÚ×óÏ¿òÖл­³öʵÑéµç·ͼ£¨¸ù¾Ý¸Ãµç·ͼ¿ÉµÃµ½U-I¹ØÏµµÄÍêÕûÇúÏߣ©£¬¿ÉÓÃµÄÆ÷²ÄÓУºµçѹ´«¸ÐÆ÷¡¢µçÁ÷´«¸ÐÆ÷¡¢»¬Ïß±ä×èÆ÷£¨±ä»¯·¶Î§0-50¦¸£©¡¢µç¶¯ÊÆÎª6VµÄµçÔ´£¨²»¼ÆÄÚ×裩¡¢Ð¡µÆÅÝ¡¢µç¼ü¡¢µ¼ÏßÈô¸É£®

£¨2£©Èç¹û½«¸ÃСµÆÅÝ·Ö±ð½ÓÈë¼×¡¢ÒÒÁ½¸ö²»Í¬µç·£¬ÈçͼËùʾ£¬ÆäÖм׵緵ĵçԴΪһ½Ú¸Éµç³Ø£¬Òҵ緵ĵçԴΪÈý½Ú¸Éµç³Ø£¬Ã¿½Ú¸Éµç³ØµÄµç¶¯ÊÆÎª1.5V£¬ÄÚµç×èΪ1.5¦¸£¬¶¨Öµµç×èR=18¦¸£¬Ôò½ÓÈë
¼×
¼×
£¨Ñ¡Ìî¡°¼×¡±»ò¡°ÒÒ¡±£©µç·ʱ£¬Ð¡µÆÅݽÏÁÁЩ£®
£¨3£©ÔÚµç·ÒÒÖУ¬Ð¡µÆÅÝÏûºÄµÄµç¹¦ÂÊΪ
0.15
0.15
W£®
£¨4£©Èô½«µç·ÒÒÖеĵç×èRÌæ»»ÎªÁíÒ»¸öÍêÈ«ÏàͬµÄСµÆÅÝ£¬ÆäËûÌõ¼þ²»±ä£¬Ôò´ËʱµçÔ´ÄÚ²¿µÄ·¢Èȹ¦ÂÊΪ
0.26
0.26
W£®

²é¿´´ð°¸ºÍ½âÎö>>

¿ÆÄ¿£º¸ßÖÐÎïÀí À´Ô´£º ÌâÐÍ£º

ÈçͼËùʾΪijͬѧ´«¸ÐÆ÷Ñо¿Ð¡µÆÅݵÄU¡ªI¹ØÏµÍ¼Ïߣ®ÊµÑéÖпÉÓÃµÄÆ÷²ÄÓУºµçѹ´«¸ÐÆ÷¡¢µçÁ÷´«¸ÐÆ÷¡¢»¬¶¯±ä×èÆ÷R1£¨×èÖµ±ä»¯·¶Î§0¡«50¦¸£©¡¢»¬¶¯±ä×èÆ÷R2£¨×èÖµ±ä»¯·¶Î§0¡«1000¦¸£©¡¢µç¶¯ÊÆÎª6 VµÄµçÔ´£¨²»¼ÆÄÚ×裩¡¢Ð¡µÆÅÝ¡¢¿ª¹Ø¡¢µ¼ÏßÈô¸É£®£¨1£©ÊµÑéÖÐÒªÇóµÃµ½U¡ªI¹ØÏµµÄÍêÕûÇúÏߣ¬ÔÚ·½¿òÖл­³öʵÑéµç·ͼ£¬²¢±ê³öËùÓû¬¶¯±ä×èÆ÷µÄ·ûºÅ£®£¨2£©ÓÉU¡ªI¹ØÏµÍ¼Ïß¿ÉÖª£¬Ð¡µÆÅݵÆË¿µç×èËæÎ¶ÈÉý¸ß¶ø       £¨Ìî¡°Ôö´ó¡±¡¢ ¡°¼õС¡±»ò¡°²»±ä¡±£©£®£¨3£©Èç¹û½«¸ÃСµÆÅÝ·Ö±ð½ÓÈë¼×¡¢ÒÒÁ½¸ö²»Í¬µç·£¬ÈçͼËùʾ£¬ÆäÖм׵緵ĵçԴΪһ½Ú¸Éµç³Ø£¬Òҵ緵ĵçԴΪÈý½Ú¸Éµç³Ø£¬Ã¿½Ú¸Éµç³ØµÄµç¶¯ÊÆÎª1.5 V£¬ÄÚ×èΪl.5¦¸£¬¶¨Öµµç×èR=18¦¸£¬Ôò½ÓÈë       £¨Ìî¡°¼×¡±»ò¡°ÒÒ¡±£©µç·ʱ£¬Ð¡µÆÅݽÏÁÁЩ£®£¨4£©ÔÚÒÒµç·ÖУ¬Ð¡µÆÅÝÏûºÄµÄµç¹¦ÂÊΪ      W£®

 

²é¿´´ð°¸ºÍ½âÎö>>

¿ÆÄ¿£º¸ßÖÐÎïÀí À´Ô´£º ÌâÐÍ£ºÔĶÁÀí½â

£¨4·Ö£©ÀûÓÃͼÖÐ×°ÖÃÑо¿Ë«·ì¸ÉÉæÏÖÏóʱ£¬ÓÐÏÂÃæ¼¸ÖÖ˵·¨ÕýÈ·µÄÊÇ(   )

A. ½«ÂË¹âÆ¬ÓɺìÉ«µÄ»»³É×ÏÉ«µÄ£¬¸ÉÉæÌõÎÆ¼ä¾à±ä¿í

B. È¥µôÂË¹âÆ¬ºó£¬ÈÔÄܹ۲쵽¸ÉÉæÏÖÏó

C.½«µ¥·ìÏòË«·ìÒÆ¶¯Ò»Ð¡¶Î¾àÀëºó£¬¸ÉÉæÌõÎÆ¼ä¾à±ä¿í

D.»»Ò»¸öÁ½·ìÖ®¼ä¾àÀë½Ï´óµÄË«·ì£¬¸ÉÉæÌõÎÆ¼ä¾à±äÕ­

£¨2£©£¨14·Ö£©

ͬѧÃÇÖªµÀ£¬Ö»Òª½«Á½¸ö²»Í¬µÄ½ðÊôµç¼«²åÈëÈκÎÒ»¸öË®¹ûÖоͿÉÒÔ×ö³ÉÒ»¸öË®¹ûµç³Ø¡£µ«ÈÕ³£Éú»îÖÐÎÒÃǺÜÉÙÓá°Ë®¹ûµç³Ø¡±£¬Ä³Ñ§Ï°Ð¡×éµÄͬѧ׼±¸¾Í´ËÎÊÌâ½øÐÐ̽¾¿¡£

¢Ù¼×ͬѧ½«Å·Ä·±íÖ±½Ó½ÓÔÚÒ»¸ö¡°Ë®¹ûµç³Ø¡±µÄÁ½¼«Ê±£¬¶ÁµÃ´ËʱµÄʾÊýΪ30¦¸£¬´Ó¶øÈÏΪ¸Ãµç³ØµÄÄÚ×è¾ÍÊÇ30¦¸¡£ÇëÄãÅжϼ×ͬѧµÄ²âÁ¿½á¹ûÊÇ·ñ׼ȷ£¬²¢¼òҪ˵Ã÷ÀíÓÉ£º

                                                                          

¢ÚÒÒͬѧ½«ÀíÏëµçÁ÷±íÖ±½Ó½ÓÔÚÒ»¸ö¡°Ë®¹ûµç³Ø¡±µÄÁ½¼«ÉÏʱ£¬²âµÃµçÁ÷Ϊ0.32mA¡£¸ù¾ÝÇ°ÃæÓõçѹ±í²âµÃ0.96V£¬ÓÃÈ«µç·ŷķ¶¨Âɵ㺣¬´Ó¶øÈÏΪ¸Ãµç³ØµÄÄÚ×è¾ÍÊÇ3.0k¦¸¡£ÇëÅжÏÒÒͬѧµÄ²âÁ¿½á¹ûÊÇ·ñ׼ȷ£¬²¢¼òҪ˵Ã÷ÀíÓÉ£º

                                                                          

¢ÛÈôʵÑéÊÒ³ýÁ˵¼ÏߺͿª¹ØÍ⣬»¹ÓÐÒÔÏÂһЩÆ÷²Ä¿É¹©Ñ¡Ôñ£ºA¡¢µçÁ÷±íA1£¨Á¿³ÌΪ0.6A£¬ÄÚ×èΪ1¦¸£©£»B¡¢µçÁ÷±íA2£¨Á¿³Ì0.5mA£¬ÄÚ×èΪ300¦¸£©£»C¡¢µçÁ÷±íA3£¨Á¿³ÌΪ50¦ÌA£¬ÄÚ×èΪ800¦¸£©£»D¡¢»¬¶¯±ä×èÆ÷R1£¨×î´ó×èÖµÔ¼2k¦¸£©£»E¡¢µç×èÏäR2£¨0~9999¦¸£©¡£

ΪÁËÄܾ¡¿ÉÄÜ׼ȷµØ²â¶¨¡°Ë®¹ûµç³Ø¡±µÄµç¶¯ÊƺÍÄÚ×裬ÔÚ·½¿òÖл­³öÓ¦²ÉÓõÄʵÑéµç·ͼ£¨ÒªÇó±êעͼÖÐËùÓÃÆ÷²Ä±¾ÉíµÄ·ûºÅA1¡¢A2¡¢A3¡¢R1¡¢R2µÈ£©

 

²é¿´´ð°¸ºÍ½âÎö>>

¿ÆÄ¿£º¸ßÖÐÎïÀí À´Ô´£º2010-2011ѧÄêºÓÄÏʡ֣ÖÝÍâ¹úÓï¸ßÈýÉÏѧÆÚµÚ¶þ´ÎÔ¿¼£¨Àí×Û£©ÎïÀí²¿·Ö ÌâÐÍ£ºÊµÑéÌâ

ÈçͼËùʾΪijͬѧ´«¸ÐÆ÷Ñо¿Ð¡µÆÅݵÄU¡ªI¹ØÏµÍ¼Ïߣ®ÊµÑéÖпÉÓÃµÄÆ÷²ÄÓУºµçѹ´«¸ÐÆ÷¡¢µçÁ÷´«¸ÐÆ÷¡¢»¬¶¯±ä×èÆ÷R1£¨×èÖµ±ä»¯·¶Î§0¡«50¦¸£©¡¢»¬¶¯±ä×èÆ÷R2£¨×èÖµ±ä»¯·¶Î§0¡«1000¦¸£©¡¢µç¶¯ÊÆÎª6 VµÄµçÔ´£¨²»¼ÆÄÚ×裩¡¢Ð¡µÆÅÝ¡¢¿ª¹Ø¡¢µ¼ÏßÈô¸É£®£¨1£©ÊµÑéÖÐÒªÇóµÃµ½U¡ªI¹ØÏµµÄÍêÕûÇúÏߣ¬ÔÚ·½¿òÖл­³öʵÑéµç·ͼ£¬²¢±ê³öËùÓû¬¶¯±ä×èÆ÷µÄ·ûºÅ£®£¨2£©ÓÉU¡ªI¹ØÏµÍ¼Ïß¿ÉÖª£¬Ð¡µÆÅݵÆË¿µç×èËæÎ¶ÈÉý¸ß¶ø       £¨Ìî¡°Ôö´ó¡±¡¢ ¡°¼õС¡±»ò¡°²»±ä¡±£©£®£¨3£©Èç¹û½«¸ÃСµÆÅÝ·Ö±ð½ÓÈë¼×¡¢ÒÒÁ½¸ö²»Í¬µç·£¬ÈçͼËùʾ£¬ÆäÖм׵緵ĵçԴΪһ½Ú¸Éµç³Ø£¬Òҵ緵ĵçԴΪÈý½Ú¸Éµç³Ø£¬Ã¿½Ú¸Éµç³ØµÄµç¶¯ÊÆÎª1.5 V£¬ÄÚ×èΪl.5¦¸£¬¶¨Öµµç×èR=18¦¸£¬Ôò½ÓÈë       £¨Ìî¡°¼×¡±»ò¡°ÒÒ¡±£©µç·ʱ£¬Ð¡µÆÅݽÏÁÁЩ£®£¨4£©ÔÚÒÒµç·ÖУ¬Ð¡µÆÅÝÏûºÄµÄµç¹¦ÂÊΪ       W£®

 

²é¿´´ð°¸ºÍ½âÎö>>

ͬ²½Á·Ï°²á´ð°¸