精英家教网 > 高中物理 > 题目详情

一列简谐横波在t=0.8s时的图象如图甲所示,其x=0处质点的振动图象如图乙所示,

由图象可知:简谐波沿x轴       方向传播(填“正”或“负”),波速大小为        m/s,t=10.0s时刻,x=4m处质点的位移为       m。

 

【答案】

负、  5、 -0.05 

【解析】

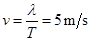
试题分析:由图象乙可知处的质点向下振动,由波的传播方向与质点振动方向的关系知:波沿x轴负向传播;由甲图知:波长,由乙图知:周期,则波速

,又从甲图开始经过时间10.0s-0.8s = 5.75T,所以甲图分析得知,时刻,x = 4m处质点位于波谷,其位移为y = -0.05m.

考点:本题考查波动图象和质点的振动图象及波长、频率和波速的关系.

 

练习册系列答案
相关习题

科目:高中物理 来源: 题型:

如图所示是一列简谐横波在t=0时刻的波形图.已知这列波沿x轴正方向传播,波速为20m/s,则在t=0.17s时该质点P(  )

查看答案和解析>>

科目:高中物理 来源: 题型:

(2008?朝阳区一模)如图所示,甲图为一列简谐横波在t=0.2s时刻的波动图象,乙图为这列波上质点P的振动图象,则该波(  )

查看答案和解析>>

科目:高中物理 来源: 题型:

如图所示是一列简谐横波在t=0时的波形图,若波的传播速度为2m/s,P点向上振动,则下列说法中正确的是(  )

查看答案和解析>>

科目:高中物理 来源: 题型:

物理--选修3-4

(1)如图一所示是一列简谐横波在t=0时刻的图象,经过0.4s时间恰好再次出现图示的波形.以下可确定的是
ACD
ACD

A.波的传播速度大小;
B.t=0时刻质点P的振动方向
C.在0到0.3s时间内,质点P通过的路程 
D.在1.0s时刻的波形图
(2)如图二所示,半圆玻璃砖的半径R=1Ocm,折射率为n=
3
,直径AB与屏幕MN垂直并接触于A点.激光a以入射角i=30°射向半圆玻璃砖的圆心O,结果在水平屏幕MN上出现两个光斑.求两个光斑之间的距离L.

查看答案和解析>>

科目:高中物理 来源: 题型:

精英家教网如图所示是一列简谐横波在t=0时的波形图,介质中的质点P沿y轴方向做简谐运动的表达式为y=10sin5πt(cm),下列说法中正确的是(  )

查看答案和解析>>

同步练习册答案