ÔÚÀûÓôòµã¼ÆÊ±Æ÷ÑéÖ¤×ö×ÔÓÉÂäÌåÔ˶¯µÄÎïÌå»úеÄÜÊØºãµÄʵÑéÖУ®
£¨1£©ÐèÒª²âÁ¿ÎïÌåÓɾ²Ö¹¿ªÊ¼×ÔÓÉÏÂÂ䵽ijµãʱµÄ˲ʱËÙ¶ÈvºÍÏÂÂä¸ß¶Èh£®Ä³Ð¡×éµÄͬѧÀûÓÃʵÑéµÃµ½µÄÖ½´ø£¬¹²Éè¼ÆÁËÒÔÏÂËÄÖÖ²âÁ¿·½°¸£¬ÆäÖÐÕýÈ·µÄÊÇ£º
A£®Óÿ̶ȳ߲â³öÎïÌåÏÂÂäµÄ¸ß¶Èh£¬²¢²â³öÏÂÂäʱ¼ät£¬Í¨¹ýv=gt¼ÆËã³ö˲ʱËÙ¶Èv£»
B£®Óÿ̶ȳ߲â³öÎïÌåÏÂÂäµÄ¸ß¶Èh£¬²¢Í¨¹ý¼ÆËã³ö˲ʱËÙ¶Èv£»
C£®¸ù¾Ý×öÔȱäËÙÖ±ÏßÔ˶¯Ê±Ö½´øÉÏijµãµÄ˲ʱËÙ¶È£¬µÈÓÚÕâµãǰ¡¢ºóÏàÁÚÁ½µã¼äµÄƽ¾ùËÙ¶È£¬²âËã³ö˲ʱËÙ¶Èv£¬²¢Í¨¹ýh=¼ÆËã³ö¸ß¶Èh£»
D£®Óÿ̶ȳ߲â³öÎïÌåÏÂÂäµÄ¸ß¶Èh£¬¸ù¾Ý×öÔȱäËÙÖ±ÏßÔ˶¯Ê±Ö½´øÉÏijµãµÄ˲ʱËÙ¶È£¬µÈÓÚÕâµãǰ¡¢ºóÏàÁÚÁ½µã¼äµÄƽ¾ùËÙ¶È£¬²âËã³ö˲ʱËÙ¶Èv£®
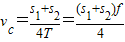
£¨2£©ÒÑÖªµ±µØÖØÁ¦¼ÓËÙ¶ÈΪg£¬Ê¹Óý»Á÷µçµÄƵÂÊΪf£®ÔÚ´ò³öµÄÖ½´øÉÏѡȡÁ¬Ðø´ò³öµÄÎå¸öµãA¡¢B¡¢C¡¢D¡¢E£¬ÈçͼËùʾ£®²â³öAµã¾àÀëÆðʼµãOµÄ¾àÀëΪs£¬A¡¢CÁ½µã¼äµÄ¾àÀëΪs1£¬C¡¢EÁ½µã¼äµÄ¾àÀëΪs2£¬¸ù¾ÝǰÊöÌõ¼þ£¬Èç¹ûÔÚʵÑéÎó²îÔÊÐíµÄ·¶Î§ÄÚÂú×ã¹ØÏµÊ½______£¬¼´ÑéÖ¤ÁËÎïÌåÏÂÂä¹ý³ÌÖлúеÄÜÊÇÊØºãµÄ£®¶øÔÚʵ¼ÊµÄʵÑé½á¹ûÖУ¬ÍùÍù»á³öÏÖÎïÌåµÄ¶¯ÄÜÔö¼ÓÁ¿ÂÔСÓÚÖØÁ¦ÊÆÄܵļõСÁ¿£¬³öÏÖÕâÑù½á¹ûµÄÖ÷ÒªÔ­ÒòÊÇ______

¡¾´ð°¸¡¿·ÖÎö£º£¨1£©½â¾öʵÑéÎÊÌâÊ×ÏÈÒªÕÆÎÕ¸ÃʵÑéÔ­Àí£¬Á˽âʵÑéµÄÒÇÆ÷¡¢²Ù×÷²½ÖèºÍÊý¾Ý´¦ÀíÒÔ¼°×¢ÒâÊÂÏ¶ÔÓÚÑéÖ¤»úеÄÜÊØºã¶¨ÂɵÄʵÑéÎÒÃÇÒѾ­°ÑÖØÎï¿´³É×ÔÓÉÂäÌåÔ˶¯£¬¹Ê²»ÄÜÔÙÓÃ×ÔÓÉÂäÌåµÄ¹æÂÉÇó½âËÙ¶È£¬·ñÔò¾Í²»ÐèÒª½øÐÐÑéÖ¤ÁË£®
£¨2£©¸ù¾ÝÔȱäËÙÖ±ÏßÔ˶¯µÄ¹æÂÉÇó³öCµãµÄ˲ʱËÙ¶È£¬È»ºó¸ù¾Ý»úеÄÜÊØºã¶¨Âɵıí´ïʽ½øÐÐÁÐʽÑéÖ¤¼´¿É£®
½â´ð£º½â£º£¨1£©¸ÃʵÑéÊÇÑéÖ¤»úеÄÜÊØºã¶¨ÂɵÄʵÑ飮ÒòΪÎÒÃÇÖªµÀ×ÔÓÉÂäÌåÔ˶¯Ö»ÊÜÖØÁ¦£¬»úеÄܾÍÊØºã£®Èç¹û°ÑÖØÎï¿´³É×ÔÓÉÂäÌåÔ˶¯£¬ÔÙÔËÓÃ×ÔÓÉÂäÌåµÄ¹æÂÉÇó½âËÙ¶È£¬ÄÇô¾Í²»ÐèÒªÑé֤Ĩ£¬ÆäÖÐABCÈýÏî¶¼ÊÇÔËÓÃÁË×ÔÓÉÂäÌåµÄÔ˶¯¹æÂÉÇó½âµÄ£¬¹ÊABC´íÎó£¬DÕýÈ·£®
¹ÊÑ¡D£®
£¨2£©ÔȱäËÙÖ±ÏßÔ˶¯Ê±Ö½´øÉÏijµãµÄ˲ʱËÙ¶È£¬µÈÓÚÕâµãǰ¡¢ºóÏàÁÚÁ½µã¼äµÄƽ¾ùËÙ¶È£¬Òò´ËCµãËÙ¶ÈΪ£º

¸ù¾Ý»úеÄÜÊØºã¶¨ÂÉÓУº
¼´£ºÎªËùÐèÒªÑéÖ¤µÄ¹«Ê½£¬ÓÉÓÚÖØÎïÏ»¬¹ý³ÌÖÐÐèÒª¿Ë·þ×èÁ¦×ö¹¦£¬Òò´ËÖØÁ¦ÊÆÄܵļõСÁ¿ÂÔ´óÓÚ¶¯ÄܵÄÔö¼ÓÁ¿£®
¹Ê´ð°¸Îª£º£¬´òµã¼ÆÊ±Æ÷¶ÔÖ½´øµÄ×èÁ¦×ö¹¦£®
µãÆÀ£ºÎÒÃÇ×öÑé֤ʵÑ顢̽¾¿ÊµÑé¹ý³ÌÖУ¬²»ÄÜÓÃÑéÖ¤µÄÎïÀí¹æÂɺÍ̽¾¿µÄÎïÀí½áÂÛÈ¥Çó½âÎÊÌ⣻ֽ´ø·¨ÊµÑéÖУ¬ÈôÖ½´øÔȱäËÙÖ±ÏßÔ˶¯£¬²âµÃÖ½´øÉϵĵã¼ä¾à£¬ÀûÓÃÔȱäËÙÖ±ÏßÔ˶¯µÄÍÆÂÛ£¬¿É¼ÆËã³ö´ò³öijµãʱֽ´øÔ˶¯µÄ˲ʱËٶȺͼÓËÙ¶È£¬´Ó¶øÇó³ö¶¯ÄÜ£¬Òò´ËÒªÊìÁ·Ó¦ÓÃÔȱäËÙÖ±ÏßÔ˶¯¹æÂÉÀ´½â¾öÎÊÌ⣮
Á·Ï°²áϵÁдð°¸
Ïà¹ØÏ°Ìâ

¿ÆÄ¿£º¸ßÖÐÎïÀí À´Ô´£º ÌâÐÍ£º

£¨1£©ÔÚÀûÓôòµã¼ÆÊ±Æ÷ÑéÖ¤×ÔÓÉÏÂÂäÎïÌåµÄ»úеÄÜÊØºãµÄʵÑéÖУ¬ÉèÔÚ´òOµãʱÊÍ·ÅÎïÌ壬´òµã¼ÆÊ±Æ÷´òAµãʱÎïÌåËÙ¶ÈΪv£¬OAÖ®¼äµÄ¾àÀëΪh£¬Ò»Í¬Ñ§ÔÚʵÑ鱨¸æÖгƣ¬Ëû²âµÃv=2.38m/s£¬h=28.76cm£¬¾Ý´Ë¿ÉµÃ£º
12
v2=2.832m2/s2£¬gh=2.818m2/s2£¬ÔÚÎó²îÔÊÐíµÄ·¶Î§ÄÚÁ½ÕßÏàµÈ£®µ«ÀÏʦÈÏΪÊý¾Ýʧʵ£¬ÆäÀíÓÉÊÇ
¿ÕÆø×èÁ¦¡¢Ä¦²ÁÓ°Ï춯ÄÜÔöÁ¿Ó¦ÂÔСÓÚÖØÁ¦ÊÆÄܼõÉÙÁ¿
¿ÕÆø×èÁ¦¡¢Ä¦²ÁÓ°Ï춯ÄÜÔöÁ¿Ó¦ÂÔСÓÚÖØÁ¦ÊÆÄܼõÉÙÁ¿
£®
£¨2£©Ä³ÐËȤС×éΪ²â¶¨Ò»Ò£¿Øµç¶¯Ð¡³µµÄ¶î¶¨¹¦ÂÊ£¬½øÐÐÈçÏÂʵÑ飺
¢ÙÓÃÌìÆ½²â³öµç¶¯Ð¡³µµÄÖÊÁ¿Îª1.0Kg£»
¢Ú½«µç¶¯Ð¡³µ¡¢Ö½´øºÍ´òµã¼ÆÊ±Æ÷°´ÈçÏÂͼËùʾ°²×°£»
¢Û½Óͨ´òµã¼ÆÊ±Æ÷£¨Æä´òµãÖÜÆÚΪ0.02s£©£»
¢Üʹµç¶¯Ð¡³µÒԶ¹¦ÂʼÓËÙÔ˶¯£¬´ïµ½×î´óËÙ¶ÈÒ»¶Îʱ¼äºó¹Ø±ÕС³µµçÔ´£¬´ýС³µ¾²Ö¹Ê±Ôٹرմòµã¼ÆÊ±Æ÷£¨ÉèÔÚÕû¸ö¹ý³ÌÖÐС³µËùÊܵÄ×èÁ¦ºã¶¨£©£®
ÔÚÉÏÊö¹ý³ÌÖУ¬´òµã¼ÆÊ±Æ÷ÔÚÖ½´øÉÏËù´òµÄ²¿·Öµã¼£ÈçÏÂͼÒÒËùʾ£®ÇëÄã·ÖÎöÖ½´øÊý¾Ý£¬»Ø´ðÏÂÃæÁ½¸öÎÊÌ⣺
£¨¢ñ£©µç¶¯Ð¡³µµÄ×î´óËÙ¶ÈΪ
1.50
1.50
m/s£¬
£¨¢ò£©¸Ãµç¶¯Ð¡³µµÄ¶î¶¨¹¦ÂÊΪ
3.0
3.0
W£®

²é¿´´ð°¸ºÍ½âÎö>>

¿ÆÄ¿£º¸ßÖÐÎïÀí À´Ô´£º ÌâÐÍ£º

ÔÚÀûÓôòµã¼ÆÊ±Æ÷ÑéÖ¤»úеÄÜÊØºã¶¨ÂɵÄʵÑéÖУ¬Èç¹ûÖ½´øÉϵÚÒ»¸öµã²»¹»ÇåÎú£¬¿ÉÉáÈ¥£¬ÔÚºóÃæÈ¡Ò»¶Î´òµã½ÏΪÇåÎúµÄÖ½´ø£¬Í¬Ê±¿ÉÒÔÑéÖ¤£®ÈçͼËùʾ£¬È¡Oµã¿ªÊ¼Ñо¿£¬ÏàÁÚÁ½µãµÄ¼ä¾àÒÑÁ¿³ö²¢±ê³öÖ½´øÉÏ£¬ËùÓý»Á÷µçµÄƵÂÊΪ50Hz£¬ÈôÖØ´¸µÄÖÊÁ¿Îª1kg£®Ôò´òµã¼ÆÊ±Æ÷×Ô´òÏÂAµã¿ªÊ¼µ½´ò³öµÄFµã£¬ÖØ´¸ÖØÁ¦ÊÆÄܵļõСÁ¿Îª
1.73
1.73
J£¬¶¯ÄܵÄÔö¼ÓÁ¿Îª
1.69
1.69
J£®£¨ÒÑÖªµ±µØµÄÖØÁ¦¼ÓËÙ¶ÈΪg=9.8m/s2£¬¼ÆËã½á¹û±£ÁôÈýλÓÐЧÊý×Ö£©

²é¿´´ð°¸ºÍ½âÎö>>

¿ÆÄ¿£º¸ßÖÐÎïÀí À´Ô´£º ÌâÐÍ£ºÔĶÁÀí½â

ÔÚÀûÓôòµã¼ÆÊ±Æ÷ÑéÖ¤×ö×ÔÓÉÂäÌåÔ˶¯µÄÎïÌå»úеÄÜÊØºãµÄʵÑéÖУ®
£¨1£©ÐèÒª²âÁ¿ÎïÌåÓɾ²Ö¹¿ªÊ¼×ÔÓÉÏÂÂ䵽ijµãʱµÄ˲ʱËÙ¶ÈvºÍÏÂÂä¸ß¶Èh£®Ä³Ð¡×éµÄͬѧÀûÓÃʵÑéµÃµ½µÄÖ½´ø£¬¹²Éè¼ÆÁËÒÔÏÂËÄÖÖ²âÁ¿·½°¸£¬ÆäÖÐÕýÈ·µÄÊÇ£º
A£®Óÿ̶ȳ߲â³öÎïÌåÏÂÂäµÄ¸ß¶Èh£¬²¢²â³öÏÂÂäʱ¼ät£¬Í¨¹ýv=gt¼ÆËã³ö˲ʱËÙ¶Èv£»
B£®Óÿ̶ȳ߲â³öÎïÌåÏÂÂäµÄ¸ß¶Èh£¬²¢Í¨¹ýv=
2gh
¼ÆËã³ö˲ʱËÙ¶Èv£»
C£®¸ù¾Ý×öÔȱäËÙÖ±ÏßÔ˶¯Ê±Ö½´øÉÏijµãµÄ˲ʱËÙ¶È£¬µÈÓÚÕâµãǰ¡¢ºóÏàÁÚÁ½µã¼äµÄƽ¾ùËÙ¶È£¬²âËã³ö˲ʱËÙ¶Èv£¬²¢Í¨¹ýh=
v2
2g
¼ÆËã³ö¸ß¶Èh£»
D£®Óÿ̶ȳ߲â³öÎïÌåÏÂÂäµÄ¸ß¶Èh£¬¸ù¾Ý×öÔȱäËÙÖ±ÏßÔ˶¯Ê±Ö½´øÉÏijµãµÄ˲ʱËÙ¶È£¬µÈÓÚÕâµãǰ¡¢ºóÏàÁÚÁ½µã¼äµÄƽ¾ùËÙ¶È£¬²âËã³ö˲ʱËÙ¶Èv£®
£¨2£©ÒÑÖªµ±µØÖØÁ¦¼ÓËÙ¶ÈΪg£¬Ê¹Óý»Á÷µçµÄƵÂÊΪf£®ÔÚ´ò³öµÄÖ½´øÉÏѡȡÁ¬Ðø´ò³öµÄÎå¸öµãA¡¢B¡¢C¡¢D¡¢E£¬ÈçͼËùʾ£®²â³öAµã¾àÀëÆðʼµãOµÄ¾àÀëΪs0£¬A¡¢CÁ½µã¼äµÄ¾àÀëΪs1£¬C¡¢EÁ½µã¼äµÄ¾àÀëΪs2£¬¸ù¾ÝǰÊöÌõ¼þ£¬Èç¹ûÔÚʵÑéÎó²îÔÊÐíµÄ·¶Î§ÄÚÂú×ã¹ØÏµÊ½
32g(s0+s1)=f2(s1+s2)2
32g(s0+s1)=f2(s1+s2)2
£¬¼´ÑéÖ¤ÁËÎïÌåÏÂÂä¹ý³ÌÖлúеÄÜÊÇÊØºãµÄ£®¶øÔÚʵ¼ÊµÄʵÑé½á¹ûÖУ¬ÍùÍù»á³öÏÖÎïÌåµÄ¶¯ÄÜÔö¼ÓÁ¿ÂÔСÓÚÖØÁ¦ÊÆÄܵļõСÁ¿£¬³öÏÖÕâÑù½á¹ûµÄÖ÷ÒªÔ­ÒòÊÇ
´òµã¼ÆÊ±Æ÷¶ÔÖ½´øµÄ×èÁ¦×ö¹¦
´òµã¼ÆÊ±Æ÷¶ÔÖ½´øµÄ×èÁ¦×ö¹¦

²é¿´´ð°¸ºÍ½âÎö>>

¿ÆÄ¿£º¸ßÖÐÎïÀí À´Ô´£º ÌâÐÍ£º

ÔÚÀûÓôòµã¼ÆÊ±Æ÷ÑéÖ¤×ÔÓÉÏÂÂäÎïÌå»úеÄÜÊØºãµÄʵÑéÖУ¬ÉèÔÚ´òOµãʱÊÍ·ÅÎïÌ壬´òµã¼ÆÊ±Æ÷´òAµãʱÎïÌåËÙ¶È´óСΪV£¬ÈçͼËùʾ£¬Ò»Í¬Ñ§ÔÚʵÑ鱨¸æÖгƣ¬Ëû²âµÃV=2.36m/s£¬h=28.76cm£¬¾Ý´Ë¿ÉµÃ£º
12
V2=2.785m2/s2£¬gh=2.718m2/s2
£¬ÔÚÎó²î·¶Î§ÄÚÁ½ÕßÏàµÈ£¬ÀÏʦÅúÔÄ£º¡°Êý¾Ý·ÇʵÑéËùµÃ£¡¡±ÆäÀíÓÉÊÇ
ÓÉÓÚ×èÁ¦µÄ´æÔÚ£¬ÏÂÂä¹ý³ÌÖÐÖØÎïÊÆÄܵļõÉÙÁ¿²»¿ÉÄÜСÓÚÆä¶¯ÄܵÄÔö¼ÓÁ¿
ÓÉÓÚ×èÁ¦µÄ´æÔÚ£¬ÏÂÂä¹ý³ÌÖÐÖØÎïÊÆÄܵļõÉÙÁ¿²»¿ÉÄÜСÓÚÆä¶¯ÄܵÄÔö¼ÓÁ¿
£®

²é¿´´ð°¸ºÍ½âÎö>>

¿ÆÄ¿£º¸ßÖÐÎïÀí À´Ô´£º ÌâÐÍ£º

¾«Ó¢¼Ò½ÌÍøÀîÃ÷ͬѧÔÚÀûÓôòµã¼ÆÊ±Æ÷ÑéÖ¤×ÔÓÉÏÂÂäÎïÌå»úеÄÜÊØºãµÄʵÑéÖмǼµÄÖ½´øÈçͼËùʾ£¬Í¼ÖÐA¡¢B¡¢C¡¢D¡¢EΪÏàÁڵļÆÊýµã£¬ÏàÁڵļÆÊýµã¼äµÄʱ¼ä¼ä¸ôΪÁË£¬ÓйؾàÀëÈçͼËù±ê£®
£¨1£©´òµã¼ÆÊ±Æ÷´òÏÂBµãʱ£¬ÎïÌåµÄËٶȱíʾʽΪvB=
 
£»
£¨2£©¸ÃͬѧÔÚʵÑ鱨¸æÖгƣ¬Ëû²âµÃÎïÌåÏÂÂä¸ß¶Èh  ¼°¶ÔÓ¦ËÙ¶Èv£®ÒÀ¾ÝvºÍhµÄÊý¾ÝµÃ£º
v22
=2.785m2/s2£¬gh=2.718m2/s2£¬ÔÚÎó²î·¶Î§ÄÚÁ½ÕßÏàµÈ£®
ÀÏʦÅúÔÄ£º¡°Êý¾Ý·ÇʵÑéËùµÃ!¡±ÆäÀíÓÉÊÇ
 
£®

²é¿´´ð°¸ºÍ½âÎö>>

ͬ²½Á·Ï°²á´ð°¸