一举重运动员在静止的地面上能举起120kg的重物,g取10m/s2,求:
(1)当这位运动员站在加速度为g/2的竖直上升的升降机中,它能举起质量为多少千克的物体;
(2)当他在升降机中能举起200kg的物体时,升降机做怎样的运动,加速度为多大.
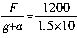
(1)运动员对物体能施加举力F=1200N,根据牛顿二定律有F-mg=ma
解得m=

kg=80kg
(2)当举起200kg的物体时,举力仍然是F=1200N.根据牛顿二定律F-mg=ma
解得a=

m/s
2=-4m/s
2负号表示方向竖直向下.故升降机以a=4m/s
2的加速度匀加速下降或以a=4m/s
2的加速度匀减速上升.
【试题分析】