精英家教网 > 高中物理 > 题目详情

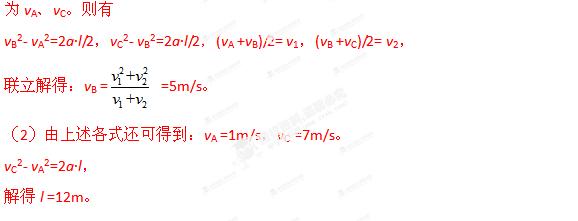
做匀加速直线运动的物体途中依次经过A、B、C三点,已知AB=BC,AB段和BC段的平均速度分别为v1=3m/s、v2=6m/s,则

(1)物体经B点时的瞬时速度vB为多大?

(2)若物体运动的加速度a=2m/s2,试求AC的距离。

解析:(1)设物体加速度大小为a,AC的距离为l,经过A、C点的速度大小

练习册系列答案
相关习题

科目:高中物理 来源: 题型:

如图所示,小车向右做匀加速直线运动的加速度大小为a,bc是固定在小车上的水平横杆,物块M穿在杆上,M通过细线悬吊着小铁球m,M、m均相对小车静止,细线与竖直方向的夹角为θ,若小车的加速度逐渐增大到2a时,M、m仍与小车保持相对静止,则(  )

查看答案和解析>>

科目:高中物理 来源: 题型:

(2007?东台市模拟)如图,质量为M、长度为l的小车静止在光滑的水平面上.质量为m的小物块(可视为质点)放在小车的最左端.现用一水平恒力F作用在小物块上,使物块从静止开始做匀加速直线运动.物块和小车之间的摩擦力为Ff.物块滑到小车的最右端时,小车运动的距离为s.在这个过程中,以下结论正确的是(  )

查看答案和解析>>

科目:高中物理 来源: 题型:

如图所示,质量为M、长度为l的小车静止在光滑的水平面上,质量为m的小物块放在小车的最左端.现用一水平恒力F作用在小物块上,使物块从静止开始做匀加速直线运动.物块和小车之间的摩擦力的大小为f.经过时间t,小车运动的位移为s,物块刚好滑到小车的最右端.物块可以看成质点,则(  )

查看答案和解析>>

科目:高中物理 来源: 题型:

如图所示,静止的小车板面上的物块质量m=8kg,被一根水平方向上拉伸了的弹簧拉住静止在小车上,这时弹簧的弹力为6N.现沿水平向左的方向对小车施以作用力,使小车运动的加速度由零逐渐增大到1m/s2,此后以1m/s2的加速度向左做匀加速直线运动.在此过程中(  )

查看答案和解析>>

科目:高中物理 来源: 题型:

(2008?汕头二模)如图,质量为M、长度为l的小车静止在光滑的水平面上.质量为m的小物块(可视为质点)放在小车的最左端.现用一水平恒力F作用在小物块上,使物块从静止开始做匀加速直线运动.物块和小车之间的摩擦力为Ff.物块滑到小车的最右端时,小车运动的距离为s.在这个过程中,以下结论正确的是(  )

查看答案和解析>>

同步练习册答案