精英家教网 > 高中物理 > 题目详情
如图所示,A、B、C三个物体质量均为m,其中厚度相同的A、B位于光滑的水平面上,可视为质点的小物块C放在静止的B物体上,物体A以速度v0。向物体B运动,与B发生碰撞(碰撞时间极短),碰后A、B以相同的速度运动,但互不粘连;C滑过B后又在A上滑行,最后停在A上,与A一起以的速度运动。求:
(1)物体B最终的速度;
(2)小物块C在物体A和物体B上滑行过程中由于摩擦产生的热量之比。
解:(1)从最初A以速度υ0运动到最终AC以共同速度υ4运动、同时B以速度υ2匀速运动的过程中,对ABC组成的系统全过程由动量守恒定律有:
求得:
(2)如图1,从A以速度υ0运动到与B相碰获得共同速度(设为υ1)的过程中,对AB组成的系统由动量守恒定律得:
设C离开B的瞬时速度为υ3,AB整体的速度减小为υ2,如图2所示,对ABC组成的系统由动量守恒定律得:
设该过程中C在B上滑行由于摩擦产生的热量为QB,由能量关系可得:
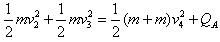
C以速度υ3离开B滑上A后,AB分离,B以速度υ2匀速运动,C和A相互作用至达到共同速度υ4,如图3所示。该过程中对A、C组成的系统由动量守恒定律有:
设该过程中C在A上滑行由于摩擦产生的热量为QA,由功能关系可得:
联立以上各式及题中已知,可得:
练习册系列答案
相关习题

科目:高中物理 来源: 题型:

电磁打点计时器和电火花计时器都是一种仪器,当电源的频率为50Hz时,这两种仪器打点的时间间隔都为
0.02
0.02
s.某次实验时,当物体做匀加速直线运动时,某同学得到了几条较为理想的纸带,他已在每条纸带上按每5个点取一个计数点,即所取两计数点之间的时间间隔为0.ls,依打点的先后次序编为0、l、2、3、4、5.由于不小心,几条纸带都被撕断了,请根据如图所示的A、B、C、D四段纸带回答:

(1)在B、C、D三段纸带中,有一段是从纸带A上撕下的,你认为从纸带A上撕下的那段应该是
C
C

(2)打A纸带时,物体的加速度大小是
0.6
0.6
m/s2
(3)打A纸带上的点l时,物体的瞬时速度是
0.33
0.33
m/s.

查看答案和解析>>

科目:高中物理 来源: 题型:

如图所示,a、b、c为电场中同一电场线上的三点,且b为ac的中点,a、c电势分别为φa=8V,φc=6V.下列叙述正确的是(  )

查看答案和解析>>

科目:高中物理 来源: 题型:

如图所示,A、B、C、D是某匀强电场中的4个等势面,一个质子和一个α粒子(电荷量是质子的2倍,质量是质子的4倍)同时在A等势面从静止出发,向右运动,当到达D等势面时,下列说法正确的是(  )

查看答案和解析>>

科目:高中物理 来源: 题型:

如图所示,a、b和c都是厚度均匀的平玻璃板,a和b、b和c之间的夹角都为α,一细光束由红光和蓝光组成,以入射角θ从O点射入a板,且射出c板后的两束单色光通过空气射在地面上P、Q两点,由此可知(  )

查看答案和解析>>

科目:高中物理 来源: 题型:

精英家教网如图所示,a、b、c是匀强电场中的直角三角形的三个顶点.已知a、b、c三点的电势分别为φa=8V、φb=-4V、φc=2V,ab=10
3
cm,ac=5
3
cm,ab和ac的夹角为60°.试确定场强的大小和方向.

查看答案和解析>>

同步练习册答案