精英家教网 > 高中物理 > 题目详情

两行星运行周期之比为1∶2,其运行轨道的半长轴之比为

[  ]

A.1/2
B.
C.
D.
答案:C
解析:

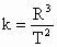
根据开普勒第三定律


练习册系列答案
相关习题

科目:高中物理 来源: 题型:

已知甲、乙两行星的半径之比为b,环绕甲、乙两行星表面运行的卫星周期之比为c,则下列结论中正确的是(  )

查看答案和解析>>

科目:高中物理 来源:活题巧解巧练高一物理(下) 题型:013

两行星运行周期之比为1∶2,其运行轨道半长轴之比为

[  ]

A.
B.
C.
D.

查看答案和解析>>

科目:高中物理 来源: 题型:013

两行星运行周期之比为1∶2,其运行轨道的半长轴之比为

[  ]

A.1/2
B.
C.
D.

查看答案和解析>>

科目:高中物理 来源: 题型:

两行星运行周期之比为1∶2,其运行轨道半长轴之比为(    )

??A.?  ?    B.??      C.???      D.

查看答案和解析>>

同步练习册答案