精英家教网 > 高中物理 > 题目详情

如图,水平面内有一光滑金属导轨,其MN、PQ边的电阻不计,MP边的电阻阻值R=1.5, MN与MP的夹角为1350, PQ与MP垂直,MP边长度小于1m。将质量m=2kg,电阻不计的足够长直导体棒搁在导轨上,并与MP平行。棒与MN、PQ交点G、 H间的距离L=4m。空间存在垂直于导轨平面的匀强磁场,磁感应强度B=0.5T。在外力作用下,棒由GH处以一定的初速度向    左做直线运动,运动时回路中的电流强度始终与初始时的电流强度相等。

(1)若初速度v1=3m/s,求棒在GH处所受的安培力大小FA.

(2)若初速度v2=1.5m/s,求棒向左移动距离2m到达EF所需时间t。

(3)在棒由GH处向左移动2m到达EF处的过程中,外力做功W=7J,求初速度v3

练习册系列答案
相关习题

科目:高中物理 来源: 题型:


一位质量为m的运动员从下蹲状态向上起跳,经△t时间,身体伸直并刚好离开地面,速度为v。在此过程中,(    )

    A. 地面对他的冲量为mv+mg△t,地面对他做的功为

    B. 地面对他的冲量为mv+mg△t,地面对他做的功为零

    C. 地面对他的冲量为mv,地面对他做的功为

    D. 地面对他的冲量为mv-mg△t,地面对他做的功为零

 

查看答案和解析>>

科目:高中物理 来源: 题型:


链式反应中,重核裂变时放出的可以使裂变不断进行下去的粒子是

  (A)质子(B)中子(C)粒子(D)粒子

查看答案和解析>>

科目:高中物理 来源: 题型:


动能相等的两物体A、B在光滑水平面上沿同一直线相向而行,它们的速度大小之比vA:vB=2: 1,则动量大小之比PA:PB=   ;两者碰后粘在一起运动,其总动量与A原来动量大小之比P:PA=  

查看答案和解析>>

科目:高中物理 来源: 题型:


在“用DIS测电源的电动势和内阻”的实验中

(1)将待测电池组、滑动变阻器、电流传感器、电压传感器、定值电阻、电键及若干导线连接成电路如图(a)所示。图中未接导线的A端应接在    点(选填: “B”、“C”、“D”或“E”)。

(2)实验得到的U-I关系如图(b)中的直线1所示,则电池组的电动势为  V,内电阻阻值为  

(3)为了测量定值电阻的阻值,应在图(a)中将“A”端重新连接到    点(选填: “B”、“C”、“D”或“E”),所得到的U-I关系如图(b)中的直线Ⅱ所示,则定值电阻的阻值为  

查看答案和解析>>

科目:高中物理 来源: 题型:


如图,场强大小为E、方向竖直向下的匀强电场中有一矩形区域abcd,水平边ab长为s,竖直边ad长为h。质量均为m、带电量分别为+q和-q的两粒子,由ac两点先后沿abcd方向以速率v0进入矩形区(两粒子不同时出现在电场中)。不计重力。若两粒子轨迹恰好相切,则v0等于(      )

A、      B、     C、      D、

查看答案和解析>>

科目:高中物理 来源: 题型:


(1)如图,内壁光滑、导热良好的气缸中用活塞封闭有一定质量的理想气体。当环境温度升高时,缸内气体______________。(双选,填正确答案标号)

a、内能增加       b、对外做功

c、压强增大       d、分子间的引力和斥力都增大

(2)一种水平重物打捞方法的工作原理如图所示。将一质量、体积的重物捆绑在开口朝下的浮筒上。向浮筒内充入一定量的气体,开始时筒内液面到水面的距离,筒内气体体积。在拉力作用下浮筒缓慢上升,当筒内液面到水面的距离为时,拉力减为零,此时气体体积为,随后浮筒和重物自动上浮。求

已知大气压强,水的密度,重力加速度的大小。不计水温度变化,筒内气体质量不变且可视为理想气体,浮筒质量和筒壁厚度可忽略。

查看答案和解析>>

科目:高中物理 来源: 题型:


短跑运动员完成100m赛跑的过程可简化为匀加速直线运动和匀速直线运动两个阶段。一次比赛中,某运动用11.00s跑完全程。已知运动员在加速阶段的第2s内通过的距离为7.5m,求该运动员的加速度及在加速阶段通过的距离。

查看答案和解析>>

科目:高中物理 来源: 题型:


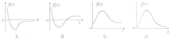
1859年麦克斯韦从理论上推导出了气体分子速率的分布规律,后来有许多实验验证了这一规律。若以横坐标表示分子速率,纵坐标f(v)表示各速率区间的分子数占总分子数的百分比。下面四幅图中能正确表示某一温度下气体分子速率分布规律的是

查看答案和解析>>

同步练习册答案