精英家教网 > 高中英语 > 题目详情
The picture of advertisement was well taken while its ______was badly written.  
A.contentB.reportC.textD.article
C

试题分析:考查名词辨析。A (书,讲话)主要内容;B 报告,报道;C 课本,文本,正文;D文章。content 侧重与形式相对的内容,text是相对于图片附注等的正文,文本部分,所以从语境可知C选项正确。句意:广告的图片拍地很好,可是正文部分却写地很差。
练习册系列答案
相关习题

科目:高中英语 来源:不详 题型:阅读理解

阅读下列应用文及相关信息,并按照要求匹配信息。把答案填涂在答题卡上相应的题号的答案标号上,如答案是E把AB同时一起涂黑,如答案是F把 CD同时一起涂黑。
首先,请阅读下面的应用文
A. Chinook’s at Salmon Bay (Ballard/Crown Hill)
This casual seafood restaurant — practically a city institution — is always dependably family-friendly, and its food is always satisfying. It’s a great place to take visiting friends and families too.
B. Matt’s in the Market (Downtown)
The most romantic feature about this cozy closet of a restaurant in the Pike Place Market is its size. It might also make it tough to get into without a wait.
C. St. Clouds (Madison Park/ Madrona / Leschi)
Youngsters get special attention from kind staff, and sweet-treatment extends to the kids’ weekend brunch menu and their dinner options.
D. RockSport Bar & Grill (West Seattle)
Everything about RockSport is big: the seating area, the menu, and last but not least, the wall-sized projection TV screen.
E. Canlis Restaurant (Queen Anne/Seattle Center)
Canlis is the place to go when you want to plan a really, truly special experience (marriage proposals, big anniversaries, etc.). The food, service and setting are all spectacular.
F. Red-hot bakeries
No matter where you go in this wide, wide world, one thing holds true: People absolutely love fresh-baked bread. Our little corner of the planet boasts more than a few bakeries that make breads and delectable pastries worth falling for.
请阅读以下就餐者的信息,然后匹配就餐者和适合他们的餐厅。
小题1:The Carpenters often take their kids out to have dinner in a restaurant on weekends. They haven’t visited a lot of restaurants. But sometimes they are rejected because of the children. The weekend is coming again. Whatever restaurant they visit, it is essential that it should welcome kids, especially their five-year-old daughter. And their elder daughter doesn’t like fish or lobster.
小题2:Fanny just got to know that Anna, her former classmate, and she worked in the same office block. They haven’t seen each other since graduation. They plan to meet each other at lunch hour. But they have only one hour for lunch. As both of them like cakes and bread, a bakeshop might be a good choice.
小题3:Leo and his wife have been married for five years. They hope to have a celebration in a fine restaurant. These days a restaurant like this is always packed with lovers. They wouldn’t like to wait for a table.
小题4:After going shopping with her boyfriend in downtown for the whole afternoon, Charlene is looking for a comfortable place to sit down and just enjoy being together.
小题5:Gary and his football team are going to have a get-together. They want to find a place where they can drink beers while enjoying some sports program.

查看答案和解析>>

科目:高中英语 来源:不详 题型:单选题

–When will you come home for dinner? I will prepare it for you.
--Don’t ______it. I’ll eat out with my friends.
A.care aboutB.bother aboutC.worry aboutD.talk about

查看答案和解析>>

科目:高中英语 来源:不详 题型:完形填空

请认真阅读下列短文,并根据所读内容在文章后表格中的空格里填入一个最恰当的单词。注意:请将答案写在答题卡上相应题号的横线上。每个空格只填1个单词。
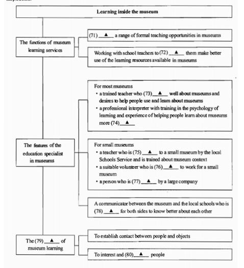
Learning inside the museum
Museums have an important role in providing learning services to users,especially school children.Some learning services will provide a range of formal teaching opportunities in the museum;others will work closely with school teachers so that these teachers can make better use of the learning resources available through displays and exhibitions,databases,handling collections and museum staff.
In an ideal world,every museum would have at least one learning or education specialist.He or she would be a trained teacher who also had a good understanding of museums and museum collections,and a strong feeling to help people especially children use and learn from them.
A museum education specialist is of great value. For most museums the establishment of such a post should be high priority. He or she is the only member of staff with training in the psychology of learning,and has considerable experience of analyzing complex concepts and-presenting them in a simple way to a non-specialist audience. The education specialist is,indeed,the only professional interpreter in the museum.
It is clearly reasonable,therefore,for the museum to make full use of the education specialist's skills,and to involve him or her in all aspects of interpretation and the planning of new displays and exhibitions.Museum learning is not just about teaching children,though children may be its principal audience.
Many small museums may not be able to employ an education specialist of their own.For them,there are other possibilities. One is that the local Schools Service may be able to lend a teacher to the museum,perhaps for two or three years,who could be trained to apply teaching skills to the museum context: another is that suitable volunteers may be available in the community-perhaps retired teacher,or teachers not presently working who may be willing to give some of their time to the museum. Another possibility is sponsorship:a large company might be willing to finance the appointment an education specialist for a few years.
An important part of the work for the education specialist in a museum is to establish strong links with its local schools.He or she is a communicator who has responsibility for keeping contact with the teachers at local schools. He or she should make sure that the schools know what is going on at the museum and how they can make use of it,and that the museum staff know about development in the school.Above all,it is their responsibility to find out what schools want and to ensure that the museum does its best to meet those requirements.There needs to be a continuing dialogue between teachers and museum:the museum needs to know what the teachers are teaching;teachers need to learn how the museum could help,and what resources they could use.
The look of wonder on a child's face can be the reward for a lifetime's work in museums.The aims of museum learning are to establish contact between people ----whether children or adults---and objects;and not to teach facts,but to sow(播)a seed of interest,a spark(火花)of inspiration.

 

查看答案和解析>>

科目:高中英语 来源:不详 题型:完形填空

A group of robbers dug their way into the basement of a bank in Paris and emptied almost 200 private safes(保险箱).
They entered the Credit Lyonnais branch using building equipment to dig holes and destroy walls.
小题1:       Saturday night, they tied up a security guard and spent 小题2:       next nine hours robbing the bank.
One investigator described the robbery 小题3:       a “professional job”. The robbers came in at about 22:00 on Saturday 小题4:       left at 7:00 on Sunday. They entered through the basements of the neighboring building, digging through a series of tunnels and making a hole into a wall of 80 cm thick to get into the bank, 小题5:       was having building works at the time.
When 小题6:       left, the robbers set the place on fire to remove any trace of evidence, switching  on the anti-fire system and flooding the building. Fortunately, the guard escaped unharmed.
小题7:        is difficult to estimate the total value of 小题8:       was stolen as only the bank’s clients(储户) know the content of their private safes.

查看答案和解析>>

科目:高中英语 来源:不详 题型:单选题

They have given up the hope to save their friend from drowning.
A.endedB.abandonedC.builtD.strengthen

查看答案和解析>>

科目:高中英语 来源:不详 题型:单选题

Traditionally, Chinese people _____ the Chinese characters Double Happiness and stick them onto walls or doors for weddings.
A.cut outB.cut offC.cut upD.cut down

查看答案和解析>>

科目:高中英语 来源:不详 题型:完形填空

根据对话内容,从对话后的选项中选出能填入空白处的最佳选项,并将答案填写在本题下面的横线上。选项中有两项多余选项。 
Hi, Linda!What are you doing?
Hi, Bob! I’m preparing for the test tomorrow.
小题1:   
Well, the library is full and the classroom is too noisy. Are you ready for the test?
I’m afraid not. I feel very nervous. We don’t have much time left.
  _小题2:   Maybe that can help.
Good idea. How many units would be included?
Three. That is Unit 4, Unit 5 and Unit 6.
Really? I thought Unit 6 would be not covered.
It will.  _小题3:  You go first.
All right. Name 3 European countries.
Easy. France, Germany and Russia. I can even say more.
   小题4:   Now it’s your turn to ask questions.
OK. What are the seven continents of the world?
Asia, Europe, Africa, and … I’m really can’t remember them all.
小题5:   You will have time
A. Don’t worry.                           B. We can prepare together.
C. We can go over their names.               D. It seems you are well prepared.
E. So many countries to remember.           F. Now let’s ask each other questions.
G. For why are you here in the garden?
 

查看答案和解析>>

科目:高中英语 来源:不详 题型:单选题

“I don’t think it’s my _______ that the TV blew up. I just turned it on. That’s all.” said the boy.
A.errorB.mistakeC.faultD.duty

查看答案和解析>>

同步练习册答案