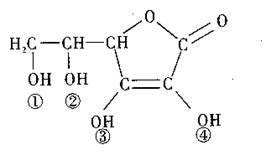
19.维生素C又名抗坏血酸.具有酸性和强还原性.也是一种常见的食品添加剂.其结构如右图.下列有关说法中正确的是 ( ) A.维生素C的分子式为C6H10O6 B.维生素C 由于含有酯基而难溶于水 C.维生素C由于含有C=O键而能发生 加成反应 D.维生素C的酸性可能是③.④两个 羟基引起的 查看更多

 

题目列表(包括答案和解析)

维生素C(Vitamin C)又名抗坏血酸,具有酸性和强还原性,也是一种常见的食品和饮料的添加剂(如苹果汁等),其结构如下图.下列有关说法中正确的是

[  ]

A.

维生素C的分子式为C6H10O6

B.

维生素C由于含有酯基而难溶于水

C.

维生素C由于含有CO键而能发生银镜反应

D.

维生素C的酸性可能是③④两个羟基引起的

查看答案和解析>>

维生素C(Vitamin C)又名抗坏血酸,具有酸性和强还原性,也是一种常见的食品添加剂,其结构如右图。下列有关说法中正确的是                     (    )

A.维生素C的分子式为C6H10O6

B.维生素C 由于含有酯基而难溶于水

C.维生素C由于含有C=O键而能发生加成反应

D.维生素C的酸性可能是③、④两个羟基引起的

 

查看答案和解析>>

维生素C(Vitamin C)又名抗坏血酸,具有酸性和强还原性,也是一种常见的食品添加剂,其结构如右图。下列有关说法中正确的是       (    )

A.维生素C的分子式为C6H10O6

B.维生素C 由于含有酯基而难溶于水

C.维生素C由于含有C=O键而能发生加成反应

D.维生素C的酸性可能是③、④两个羟基引起的

查看答案和解析>>

维生素C(Vitamin C)又名抗坏血酸,具有酸性和强还原性,也是一种常见的食品添加剂,其结构如右图。下列有关说法中正确的是              (    )

         A.维生素C的分子式为C6H 16O6

         B.维生素C 由于含有酯基而难溶于水

         C.维生素C由于含有C=O键而能发生

银镜反应

         D.维生素C的酸眭可能是③、④两个

羟基引起的

查看答案和解析>>

维生素C(Vitamin C)又名抗坏血酸,具有酸性和强还原性,也是一种常见的食品添加剂,其结构如右图。下列有关说法中正确的是                                                                                   (   )
         A.维生素C的分子式为C6H 16O6
B.维生素C 由于含有酯基而难溶于水
C.维生素C由于含有C=O键而能发生
银镜反应
D.维生素C的酸眭可能是③、④两个
羟基引起的

查看答案和解析>>


同步练习册答案