(Ⅰ)证明 ∵是关于x的方程的两根. 查看更多

 

题目列表(包括答案和解析)

关于x的方程2x2-tx-2=0的两根为α,β(α<β),函数f(x)=
4x-t
x2+1
.

(1)求f(α)和f(β)的值.
(2)证明:f(x)在[α,β]上是增函数.
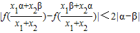
(3)对任意正数x1.x2,求证:|f(
x1α+x2β
x1+x2
)-f(
x1β+x2α
x1+x2
)|<2|α-β|
(文科不做)

查看答案和解析>>

关于x的方程2x2-tx-2=0的两根为α,β(α<β),函数f(x)=数学公式
(1)求f(α)和f(β)的值.
(2)证明:f(x)在[α,β]上是增函数.
(3)对任意正数x1.x2,求证:数学公式(文科不做)

查看答案和解析>>

关于x的方程2x2-tx-2=0的两根为α,β(α<β),函数f(x)=
4x-t
x2+1
.

(1)求f(α)和f(β)的值.
(2)证明:f(x)在[α,β]上是增函数.
(3)对任意正数x1.x2,求证:|f(
x1α+x2β
x1+x2
)-f(
x1β+x2α
x1+x2
)|<2|α-β|
(文科不做)

查看答案和解析>>

关于x的方程2x2-tx-2=0的两根为α,β(α<β),函数f(x)=
(1)求f(α)和f(β)的值.
(2)证明:f(x)在[α,β]上是增函数.
(3)对任意正数x1.x2,求证:(文科不做)

查看答案和解析>>

关于x的方程2x2-tx-2=0的两根为α,β(α<β),函数f(x)=
(1)求f(α)和f(β)的值.
(2)证明:f(x)在[α,β]上是增函数.
(3)对任意正数x1.x2,求证:(文科不做)

查看答案和解析>>


同步练习册答案