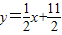
已知数列{an}的前n项为和Sn.点在直线上. 查看更多

 

题目列表(包括答案和解析)

已知数列{an}的前n项为和Sn,点在直线上.数列{bn}满足bn+2-2bn+1+bn=0(n∈N*),且b3=11,前9项和为153.
(Ⅰ)求数列{an}、{bn}的通项公式;
(Ⅱ)设,数列{cn}的前n和为Tn,求使不等式对一切n∈N*都成立的最大正整数k的值.
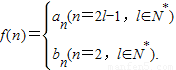
(Ⅲ)设是否存在m∈N*,使得f(m+15)=5f(m)成立?若存在,求出m的值;若不存在,请说明理由.

查看答案和解析>>

已知数列{an}的前n项为和Sn,点在直线上.数列{bn}满足bn+2-2bn+1+bn=0(n∈N*),且b3=11,前9项和为153.
(Ⅰ)求数列{an}、{bn}的通项公式;
(Ⅱ)设,数列{cn}的前n和为Tn,求使不等式对一切n∈N*都成立的最大正整数k的值.
(Ⅲ)设是否存在m∈N*,使得f(m+15)=5f(m)成立?若存在,求出m的值;若不存在,请说明理由.

查看答案和解析>>

已知数列{an}的前n项为和Sn,点在直线上.数列{bn}满足bn+2-2bn+1+bn=0(n∈N*),且b3=11,前9项和为153.
(Ⅰ)求数列{an}、{bn}的通项公式;
(Ⅱ)设,数列{cn}的前n和为Tn,求使不等式对一切n∈N*都成立的最大正整数k的值.
(Ⅲ)设是否存在m∈N*,使得f(m+15)=5f(m)成立?若存在,求出m的值;若不存在,请说明理由.

查看答案和解析>>

已知数列{an}的前n项为和Sn,点在直线上.数列{bn}满足bn+2-2bn+1+bn=0(n∈N*),且b3=11,前9项和为153.
(Ⅰ)求数列{an}、{bn}的通项公式;
(Ⅱ)设,数列{cn}的前n和为Tn,求使不等式对一切n∈N*都成立的最大正整数k的值.
(Ⅲ)设是否存在m∈N*,使得f(m+15)=5f(m)成立?若存在,求出m的值;若不存在,请说明理由.

查看答案和解析>>

(07年朝阳区一模文)(14分)        已知数列{an}的前n项为和Sn,点在直线上.数列{bn}满足

    ,前9项和为153.

   (Ⅰ)求数列{an}、{bn}的通项公式;

   (Ⅱ)设,数列{cn}的前n和为Tn,求使不等式对一切都成立的最大正整数k的值.

查看答案和解析>>


同步练习册答案