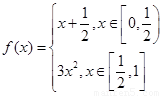
8.已知函数.若存在.则 A. B. C. D. 查看更多

 

题目列表(包括答案和解析)

已知函数,若存在,则

  A.             B.               C.            D.

查看答案和解析>>

已知函数,若存在,使得,则的取值范围为(  )

A.                B.               C.              D.

 

查看答案和解析>>

已知函数,若存在,使得,则的取值范围为(  )

A.                B.               C.              D.

 

查看答案和解析>>

已知函数,若存在,使得恒成立,则的值是(    )

A.                                    B.                                    C.                                    D.

 

查看答案和解析>>

已知函数,若存在,使得不等式成立,则实数的最小

值是    

   A.3              B.            C.              D.

 

查看答案和解析>>


同步练习册答案