0  379788  379796  379802  379806  379812  379814  379818  379824  379826  379832  379838  379842  379844  379848  379854  379856  379862  379866  379868  379872  379874  379878  379880  379882  379883  379884  379886  379887  379888  379890  379892  379896  379898  379902  379904  379908  379914  379916  379922  379926  379928  379932  379938  379944  379946  379952  379956  379958  379964  379968  379974  379982  447090 

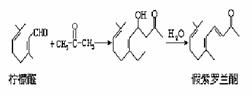
6. 我国盛产山苍子精油,用其主要成分柠檬醛可以与丙酮反应制取假紫罗兰酮,进而全成具有工业价值的紫罗兰酮。

已知:R-X+H2O→R-OH+HX("R-"为烃基)下面是一种有机物A的合成路线,

请回答有关问题:写出a、c、d、e的结构简式 a_________      ___、c___       _________、

d______      ______、e_____       _______。

第44课时  有机反应类型及合成(B卷)

易错现象

试题详情

5.已知苯的同系物可被高锰酸钾氧化。如:,又如涤纶树脂的合成原理是:

试以对二甲苯、乙烯、氯气、氧化剂、水为原料,写出制备合成涤纶树脂单体的化学方程式。

                        

                        ,

                        

(该题考查了苯的同系物、烯烃、酯化缩聚等知识的理解和综合运用能力)

试题详情

4. 化合物C和E都是医用功能高分子材料,且有相同的元素百分组成,均可由化合物A(C­4H8O3)制得,如下图所示。B和D互为同分异构体。

试写出:(1)化学方程式:

A→D                        。

B→C                       。

(2)反应类型: A→B          

B→C          ;A→E             。

(3)E的结构简式             ;

A的同分异构体(同类别且有支链)的结构简式:                       。

(考查了分子内和分子间酯化反应的区别)

试题详情

3. 已知:(X代表卤素原子,R代表烃基)

利用上述信息,按以下步骤从  合成

(部分试剂和反应条件已略去。)

请回答下列问题:

(1)分别写出B、D的结构简式:B        、D           

(2)反应①-⑦中属于消去反应的是        。(填数字代号)

(3)如果不考虑⑥、⑦反应,对于反应⑤,得到的E可能的结构简式为:

_____________________   _______。

(4)试写出C→D反应的化学方程式(有机物写结构简式,并注明反应条件)

__________________________________    ______。

(考查了醇羟基和酚羟基在性质上的差别和联系)

试题详情

2.已知酮在催化剂作用下能被氢气还原为相应的醇,且不会被银氨溶液氧化。

根据下列各步变化,将有机产物A、B、C的结构简式填入相应的方框内:

⑴在浓硫酸中发生消去反应的化学方程式

 

                    

(2)C在烧碱溶液中发生反应的化学方程式:

 

                     。 

(该题主要考查了羰基和醛基在性质上的差别)

试题详情

1.(2000年广东高考试题)已知溴乙烷跟氰化钠反应再水解可以得到丙酸

CH3CH2BrCH3CH2CN CH3CH2COOH,

产物分子比原化合物分子多了一个碳原子,增长了碳链。请根据以下框图回答问题:

F分子中含有8个原子组成的环状结构。

(1)反应①②③中属于取代反应的是__________(填反应代号)。

(2)写出结构简式:E_________   ____,F______ ____。

(主要考查了学生对提供信息的有机合成题的分析和理解)

试题详情

3.某有机物的结构简式为

(溶于水),为了证明该有机物的结构和性质,你认为应先检验         (填官能团),所选检验的试剂是     ;其次检验     (填官能团),所选检验试剂是       ;最后检验       (填官能团),所选检验试剂是       

(该题考查了学生对有机官能团的知识的掌握。)

新活题网站

试题详情

2.有机化学中取代反应的范畴很广。下列6个反应中属于取代反应范畴的是(填写相应的字母)       。

(本题考查了学生对取代反应的理解和灵活运用。)

试题详情

1.有机物①CH2OH(CHOH)4CHO②CH3CH2CH2OH③CH2=CH-CH2OH④CH2=CH-COOCH3⑤CH2=CH-COOH中,既能发生加成反应和酯化反应,又能发生氧化反应的是(   )

A.③⑤   B.①③⑤  C.②④   D.①③

(本题考查了学生对化学中结构决定性质思想的认识,解题时要从有机物的官能团的性质入手)

试题详情

2.   由知识迁移合成有机物

该类习题的特点是:运用题目中给出的新知识解决有机物的合成。解决此类习题的关键是:准确、全面理解新知识,快速、正处确理新知识中的要点及反应发生的部位和类型。典型例题点击:

试题详情


同步练习册答案