0  421103  421111  421117  421121  421127  421129  421133  421139  421141  421147  421153  421157  421159  421163  421169  421171  421177  421181  421183  421187  421189  421193  421195  421197  421198  421199  421201  421202  421203  421205  421207  421211  421213  421217  421219  421223  421229  421231  421237  421241  421243  421247  421253  421259  421261  421267  421271  421273  421279  421283  421289  421297  447090 

8.蓝藻与变形虫的主要区别是

A.单细胞      B.无核膜     C.二分裂繁殖     D.有叶绿体

试题详情

7.原核细胞中,拟核内的物质主要是:

A.DNA     B.RNA      C.蛋白质      D.蛋白质和核酸

试题详情

6.细胞学说揭示了:

A.植物细胞与动物细胞的区别     B.细胞的统一性

C.细胞为什么要产生新细胞      D.人们对细胞的认识是一个艰难曲折的过程

试题详情

5.病毒、蓝藻和酵母菌都具有的物质或结构是:

A.细胞壁     B.细胞质    C.细胞膜    D.核酸

试题详情

4.在将显微镜的低倍镜转换成高倍镜并寻找物像的过程中,应出现的操作是:

A.转动细准焦螺旋            B.转动粗准焦螺旋 

C.转动转换器              D.调节反光镜和光圈

试题详情

3.用光学显微镜观察标本时,标本被放大100倍是指放大标本的:

A.像的面积   B.表面积     C.长度、宽度      D.体积

试题详情

2.生物体结构和功能的基本单位是:

  A.个体       B.细胞     C.各种化合物    D.各种元素

试题详情

1.绿色开花植物的结构层次是:

A.细胞-组织-器官-植物体         B.细胞-组织-系统-植物体

C.细胞-器官-系统-植物体         D.细胞-器官-组织-植物体

试题详情

(三)Al(OH)3沉淀的有关计算

1、铝盐与强碱反应

(1)n(Al3+)︰n(OH)≥1︰3时:m[Al(OH)3]=78g·mol1×n(OH)/3

(2)n(Al3+)︰n(OH)≤1︰4时:m[Al(OH)3]=0

(3)1︰4<n(Al3+)︰n(OH)<1︰3时:m[Al(OH)3]=78g·mol1×[4n(Al3+)n(OH)]

2、偏铝酸盐与强酸的反应

(1)n(AlO2)︰n(H+)≥1︰1时:m[Al(OH)3]=78g·mol1×n(H+)

(2)n(AlO2)︰n(H+)≤1︰4时:m[Al(OH)3]=0

(3)1︰4<n(AlO2)︰n(H+)<1︰1时:m[Al(OH)3]=78g·mol1×[4n(AlO2)n(H+)]/3

[思考感悟]解答有关Al(OH)3的图像和计算问题要注意的两点是什么?

(1)“铝三角”关系图中各物质转化方程式中的计量数关系。(2)图像分析时:首先要看清横、纵坐标的含义,其次要对图像进行全面的分析,尤其需要关注的是特殊点(起点、折点、顶点、终点)的含义。

[基础训练]

1、现有A、B、C三种均含同一种金属元素的无机化合物,它们之间的转化关系如图(部分产物已略去)所示:

(1)请写出B转化为C的所有可能的离子方程式Al(OH)3+OHAlO2+2H2OAl(OH)3+3H+Al3++3H2O,A与C反应的离子方程式Al3++3AlO2+6H2O4Al(OH)3

(2)化合物B经过一系列反应可以得到单质E,将一定质量的Mg和E的混合物投入500mL稀硫酸中,固体全部溶解并产生气体。待反应完全后,向所有溶液中加入NaOH溶液,生成沉淀的物质的量与加入NaOH溶液的体积关系如图所示。则固体混合物中Mg的质量为3.6g;NaOH溶液的物质的量浓度为5mol·L1

2、向X的溶液中,加入Y试剂,产生的沉淀示意图如图所示情形的是(注意线段的斜率)(  A  )

A、向NaOH和Ca(OH)2的混合液中通入CO2

B、向HCl和AlCl3的混合液中滴加NaOH

C、向NH4Cl和AlCl3的混合液中滴加NaOH

D、向NH4Cl和MgCl2的混合液中滴加NaOH

3、向含有1molKAl(SO4)2的溶液中逐滴加入Ba(OH)2溶液,充分反应,下列说法正确的是(  D  )

A、当Al3+恰好完全沉淀时,消耗Ba(OH)21.5mol

B、当SO42恰好完全沉淀时,Al3+全部转化为AlO2

C、当向溶液中加入1.5molBa(OH)2时,反应可用下列离子方程式表示:2Al3++3SO42+3Ba2++6OH=2Al(OH)3↓+3BaSO4

D、随加入的Ba(OH)2的物质的量不断增大,沉淀的物质的量不断增大

[高考模拟]

4、(2007全国卷Ⅱ)现有五种离子化合物A、B、C、D和E,都是由下表中离子形成的:

阳离子
Ag+
Ba2+
Al3+
阴离子
OH
Cl
SO42

为鉴别它们,分别完成以下实验,其结果是:

a、B和D都不溶于水,也不溶于酸;

b、A溶于水后,与上述某阳离子反应可生成B,且A溶液与过量氨水反应生成白色沉淀;

c、C溶于水后,与上述某阳离子反应可生成D,且C溶液与过量氨水反应生成白色沉淀;

d、E溶于水后,与上述某阴离子反应可生成B;

e、A溶液与适量E溶液反应生成沉淀,再加入过量E溶液,沉淀量减少,但不消失。

请根据上述实验结果,填空:

(1)写出化合物的化学式:AAl2(SO4)3,CAlCl3,DAgCl,EBa(OH)2

(2)A溶液与过量的E溶液反应后,最终得到的沉淀的化学式是BaSO4

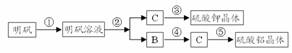
5、(2008广州模拟)下图表示的是用明矾[KAl(SO4)2·12H2O]制取硫酸铝和硫酸钾的操作流程图,请根据此图回答有关问题。

(1)进行操作②时,加入的试剂是过量的氨水,从反应混合物中分离A所进行的实验操作是过滤,其反应的离子方程式为Al3++3NH3·H2OAl(OH)3+3NH4+

(2)进行操作④时,所加入的试剂是KOH,其目的是将溶液中的NH4+转化为NH3·H2O,同时要对反应混合物进行的操作是加热、搅拌

试题详情

(二)离子共存问题

Al3+与OH、S2、AlO2、CO32、HCO3;AlO2与H+、Al3+、Fe3+、NH4+因发生反应或水解相互促进而不能大量共存

试题详情


同步练习册答案