0  422029  422037  422043  422047  422053  422055  422059  422065  422067  422073  422079  422083  422085  422089  422095  422097  422103  422107  422109  422113  422115  422119  422121  422123  422124  422125  422127  422128  422129  422131  422133  422137  422139  422143  422145  422149  422155  422157  422163  422167  422169  422173  422179  422185  422187  422193  422197  422199  422205  422209  422215  422223  447090 

5.在[Ag(NH3) 2]OH中,中心原子与配位体形成配位键的杂化轨道类型是    (   )

A.sp杂化      B.sp2杂化     C.sp3杂化    D.以上都不是

试题详情

4.下列现象和应用与电子跃迁无关的是                   (   )

A.激光    B.焰色反应   C.燃烧放热   D.原子吸收光谱 

试题详情

3.下面元素周期表中全部是金属元素的区域为                (   )

A.只有s区

B.只有d区  

C.s区、d区和ds区

D.d区和ds区

试题详情

2、下列关于晶体的说法正确的是                      (   )

A.构成分子晶体的微粒一定含有共价键    B.原子晶体的熔点一定比金属晶体的高

C.离子晶体发生状态变化时需要克服离子键  D.晶体中只要有阳离子就一定有阴离子

试题详情

1.下列叙述正确的是                            (   )

A.6个质子8个中子的碳原子的核素符号:12C    B.氯化氢的电子式为:

C.甲烷的比例模型:       D.Cl离子的结构示意图: 

试题详情

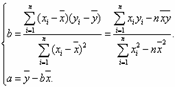
22.(14分)某种产品的广告费支出与销售额(单位:百万元)之间有如下对应数据:


2
4
5
6
8

30
40
50
60
70

(1)画出散点图;

(2)求线性回归方程;

(3)预测当广告费支出为7百万元时的销售额。   

试题详情

21.(14分)设计算法求的值。要求画出程序框图,写出基本语句编写的程序。

试题详情

20.(12)某村计划建造一个室内面积为800的矩形蔬菜温室。在温室内,沿左.右两侧与后侧内墙各保留1宽的通道,沿前侧内墙保留3宽的空地。当矩形温室的边长各为多少时?蔬菜的种植面积最大。最大种植面积是多少?

试题详情

19.(12)甲,乙两名战士在相同条件下各射靶10次,每次命中的环数分别是:

   甲:8,6,7,8,6,5,9,10,4,7

   乙:6,7,7,8,6,7,8,7,9,5

1)分别计算以上两组数据的平均数;

2)分别求出两组数据的方差;

3)根据计算结果,估计一下两名战士的射击情况。

试题详情

18.(10分)甲乙二人参加普法知识竞赛,共有10个不同的题目,其中选择题6个,判断题4个,甲乙二人依次各抽一题, 

甲抽到选择题,乙抽到判断题的概率是多少?

甲乙两人至少有一人抽到选择题的概率是多少?

试题详情


同步练习册答案