相关习题
 0  67690  67698  67704  67708  67714  67716  67720  67726  67728  67734  67740  67744  67746  67750  67756  67758  67764  67768  67770  67774  67776  67780  67782  67784  67785  67786  67788  67789  67790  67792  67794  67798  67800  67804  67806  67810  67816  67818  67824  67828  67830  67834  67840  67846  67848  67854  67858  67860  67866  67870  67876  67884  97155 

科目: 来源:xxsx 题型:

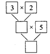
在方框里填上恰当的数。


A.3    14
B.6     15
C.6     30
D.7     35

试题详情

科目: 来源:xxsx 题型:

括号里最大能填几?
(   )×6<263×(   )<11(   )×5<13

A.4   4   3
B.4   3   2
C.5   4   3
D.6   5   2

试题详情

科目: 来源:xxsx 题型:

下列计算正确的是

A.3×2=8
B.3×5=15
C.2×5=12
D.2×4=10

试题详情

科目: 来源:xxsx 题型:

在○里填上“>”“<”或“=”。
3×4○102×2○54+5○4×52×5○10

A.>   <   <   =
B.>   <    >   >
C.<   >    =   <
D.<   <    >    =                      

试题详情

科目: 来源:xxsx 题型:

5和哪种数相乘的积,比5大?

A.比5小的数
B.比5大的数
C.比1大的数

试题详情

科目: 来源:xxsx 题型:

摆4个需要几个图形?

A.4
B.35
C.24
D.21

试题详情

科目: 来源:xxsx 题型:

一斤桃子2元钱,买6斤桃子多少钱,用哪种计算比较简单?

A.加法
B.乘法
C.减法

试题详情

科目: 来源:xxsx 题型:

2个4再加上3个4是

A.1个4
B.4个4
C.5个4

试题详情

科目: 来源:xxsx 题型:

5个6的和用乘法算式表示是

A.5+6
B.6×5
C.5+5+5+5+5+5

试题详情

科目: 来源:xxsx 题型:

根据下列算式正确的是

A.3×4=12
B.4×2+2=10
C.4×2=8
D.6×3=18

试题详情


同步练习册答案