相关习题
 0  67742  67750  67756  67760  67766  67768  67772  67778  67780  67786  67792  67796  67798  67802  67808  67810  67816  67820  67822  67826  67828  67832  67834  67836  67837  67838  67840  67841  67842  67844  67846  67850  67852  67856  67858  67862  67868  67870  67876  67880  67882  67886  67892  67898  67900  67906  67910  67912  67918  67922  67928  67936  97155 

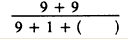
科目: 来源:xxsx 题型:

在(  )里填数,使横线上下得数相同。


A.6
B.7
C.8
D.9

试题详情

科目: 来源:xxsx 题型:

树上有16只小鸟,先飞走了6只,又飞走了8只,还剩(   )只小鸟 

A.14
B.6
C.4
D.2

试题详情

科目: 来源:xxsx 题型:

计算17-6=(   )   7+8=(   )

A.10    14
B.11     15
C.12     15
D.10     16

试题详情

科目: 来源:xxsx 题型:

我会数。

三角形比正方形多(   )个

A.2
B.3
C.4
D.5

试题详情

科目: 来源:xxsx 题型:

表示的时间是(   )

A.6:45
B.5:45
C.10:30
D.9:30

试题详情

科目: 来源:xxsx 题型:

哪个高?

A.
B.

试题详情

科目: 来源:xxsx 题型:

哪个多?

A.
B.

试题详情

科目: 来源:xxsx 题型:

1,3,6,7,8倒过来看和原数一样的是

A.1和6
B.3和6
C.1和8

试题详情

科目: 来源:xxsx 题型:

用几个小正方体可以拼成一个大正方体?

A.2
B.4
C.8

试题详情

科目: 来源:xxsx 题型:

多选题
用圆柱能画

A.长方形
B.球
C.三角形
D.圆形

试题详情


同步练习册答案