相关习题
 0  69216  69224  69230  69234  69240  69242  69246  69252  69254  69260  69266  69270  69272  69276  69282  69284  69290  69294  69296  69300  69302  69306  69308  69310  69311  69312  69314  69315  69316  69318  69320  69324  69326  69330  69332  69336  69342  69344  69350  69354  69356  69360  69366  69372  69374  69380  69384  69386  69392  69396  69402  69410  97155 

科目: 来源:czsx 题型:

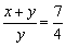
如图,P是Rt△ABC的斜边BC上异于B,C的一点,过P点作直线截△ABC,使截得的三角形与△ABC相似,满足这样条件的直线共有


A.1条
B.2条
C.3条
D.4条

试题详情

科目: 来源:czsx 题型:

△ABC∽△A1B1C1,相似比为2:3,△A1B1C1∽△A2B2C2,相似比为5:4,则△ABC与△A2B2C2的相似比为

A.
B.
C.
D.

试题详情

科目: 来源:czsx 题型:

三角形三边之比3:5:7,与它相似的三角形最长边是21cm,另两边之和是

A.15cm     
B.18cm
C.21cm   
D.24cm

试题详情

科目: 来源:czsx 题型:

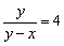
如图,如果正方形ABCD旋转后能与正方形CDEF重合,那么图形所在的平面内可作旋转中心的点共有


A.1 个
B.2 个
C.3 个
D.4个

试题详情

科目: 来源:czsx 题型:

下列图形一定相似的是

A.所有的直角三角形     
B.所有的等腰三角形 
C.所有的矩形 
D.所有的正方形 

试题详情

科目: 来源:czsx 题型:

将下图所示的图案按顺时针方向旋转90°后可以得到的图案是


A.
B.
C.
D.

试题详情

科目: 来源:czsx 题型:

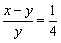
则下列各式中不正确的是

A.
B.
C.
D.

试题详情

科目: 来源:czsx 题型:

如图,ABCD中,对角线AC和BD相交于点O,如果AC=12、BD=10、AB=m,那么m的取值范围是


A.1< m <11
B.2< m <22
C.10< m <12
D.5< m <6

试题详情

科目: 来源:czsx 题型:

计算+( -1-4cos45-2÷×2=(    )

A.4
B.-5
C.-6
D.8

试题详情

科目: 来源:czsx 题型:

如图,已知∠AOB =30,M为OB边上一点,以M为圆心,2cm为半径作⊙M.若点M在OB边上运动,则当OM=(      )cm时,⊙M与OA相切。


A.2
B.3
C.4
D.5

试题详情


同步练习册答案