相关习题
 0  69506  69514  69520  69524  69530  69532  69536  69542  69544  69550  69556  69560  69562  69566  69572  69574  69580  69584  69586  69590  69592  69596  69598  69600  69601  69602  69604  69605  69606  69608  69610  69614  69616  69620  69622  69626  69632  69634  69640  69644  69646  69650  69656  69662  69664  69670  69674  69676  69682  69686  69692  69700  97155 

科目: 来源:czsx 题型:

直角三角形中,两锐角的平分线相交所成的钝角的度数为

A.90°
B.100°
C.150°
D.135°

试题详情

科目: 来源:czsx 题型:

已知点A(3,-5),AB平行于y轴,则点B的坐标可能是

A.(7,-5)
B.(2,3)
C.(2,-5)
D.(3,8)

试题详情

科目: 来源:czsx 题型:

等腰三角形的腰长是4cm,则它的底边长不可能是

A.1cm
B.3cm
C.6cm
D.9cm

试题详情

科目: 来源:czsx 题型:

一个两位数的十位数字与个位数字之和是7,如果把这个两位数加上45,那么恰好成为个位数字与十位数字对调后的两位数,则这个两位数是

A.16
B.25
C.38
D.49

试题详情

科目: 来源:czsx 题型:

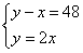
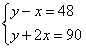
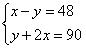
如图,将正方形ABCD的一角折叠,折痕为AE,∠B′AD比∠B′AE大48°,设∠B′AE和∠B′AD的度数分别为x、y,那么x、y所适合的一个方程组是


A.
B.
C.
D.

试题详情

科目: 来源:czsx 题型:

有一种足球是由32块黑白相间的牛皮缝制而成的(如图),黑皮可看作正五边形,白皮可看作正六边形,设白皮有x块,则黑皮有(32-x)块,每块白皮有六条边,共6x边,因每块白皮有三条边和黑皮连在一起,故黑皮有3x条边。要求出白皮、黑皮的块数,列出的方程正确的是


A.3x=32-x
B.3x=5(32-x)
C.5x=3(32-x)
D.6x=32-x

试题详情

科目: 来源:czsx 题型:

下列叙述中,正确的是

A.单项式x2y的系数是0,次数是3
B.a、π、0、22都是单项式
C.多项式3a3b+2a2+1是六次三项式
D.是二次二项式

试题详情

科目: 来源:czsx 题型:

方程(x-3)(2x+5)=0的解是

A.x=3
B.x=0
C.x=-或x=3,
D.以上都不对

试题详情

科目: 来源:czsx 题型:

下面各语句中,正确的是

A.两条直线被第三条直线所截,同位角相等
B.不相交的两条直线是平行直线
C.若a∥b,c∥d,则a∥d
D.同旁内角互补,两直线平行

试题详情

科目: 来源:czsx 题型:

下列各式中:(1)-(-a3)4=a12;(2)(-an)2=(-a2)n;(3)(-a-b)3=(a-b)3 ;(4)(a-b)4=(-a+b) 正确的个数是

A.1个
B.2个
C.3个
D.4个

试题详情


同步练习册答案