相关习题
 0  69698  69706  69712  69716  69722  69724  69728  69734  69736  69742  69748  69752  69754  69758  69764  69766  69772  69776  69778  69782  69784  69788  69790  69792  69793  69794  69796  69797  69798  69800  69802  69806  69808  69812  69814  69818  69824  69826  69832  69836  69838  69842  69848  69854  69856  69862  69866  69868  69874  69878  69884  69892  97155 

科目: 来源:czsx 题型:

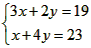
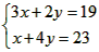
《九章算术》是我国东汉初年编订的一部数学经典著作。在它的“方程”一章里,一次方程组由算筹布置而成的,《九章算术》的算筹是竖排的,为看图方便,我们把它改为横排。 如图1,2中各行从左到右列出的算筹数分别表示未知数的系数与相应的常数项,把图1所示的算筹图用我们现在所熟悉的方程组表示出来就是。类似地,图2所示的算筹图我们可以表述为


A.
B.
C.    
D.

试题详情

科目: 来源:czsx 题型:

现有一个圆心角为90°,半径为10的扇形纸片,用它恰好卷成一个圆锥的侧面(接缝忽略不计),则该圆锥的底面半径为


A. 5
B. 3.5
C. 2.5
D. 2

试题详情

科目: 来源:czsx 题型:

下列四条线段不成比例的是

A. a=3,b=6,c=2,d=4
B. a=,b=8,c=5,d=15
C. a=,b=2,c=3,d=
D. a=1,b=,c=,d=

试题详情

科目: 来源:czsx 题型:

已知弧的长为3cm,弧的半径为6cm,则圆弧的度数为

A. 45°
B. 90°
C. 60°
D.180°

试题详情

科目: 来源:czsx 题型:

若二次函数y=ax2+bx+c的顶点在第一象限,且经过点(0,1)、(-1,0),则y=a+b+c 的取值范围是

A.Y>1
B.-1<Y<1
C.0<Y<2
D.1<Y<2

试题详情

科目: 来源:czsx 题型:

如图,AB为⊙O直径,CD为⊙O 的弦,∠ACD=28°则∠BAD的度数为


A.28°
B.56°
C.62°
D.72°

试题详情

科目: 来源:czsx 题型:

儿园的小朋友打算选择一种形状、大小都相同的正多边形塑胶板铺活动室地面,为了保证铺地时既无缝隙又不重叠,请你告诉他们,下面形状的塑胶板不能选择的是

A.正八边形
B.正六边形
C.正方形
D.正三角形

试题详情

科目: 来源:czsx 题型:

如图,在ABCD中,AB∶ AD = 3∶2,∠ADB=60°,那么cosA的值等于


A.
B.
C.
D.

试题详情

科目: 来源:czsx 题型:

在△ABC中,已知AB=AC=4cm,BC=6cm,D是BC的中点,以D为圆心作一个半径为3cm的圆,则下列说法正确的是

A. 点A在⊙D外
B. 点B在⊙D内
C. 点C在⊙D 上
D. 无法确定

试题详情

科目: 来源:czsx 题型:

如图,已知△ABC,P是边AB上的一点,连结CP,以下条件中不能确定△ACP与△ABC相似的是


A.∠ACP=∠B
B.∠APC=∠ACB
C.AC2=AP·AB
D.

试题详情


同步练习册答案