相关习题
 0  70013  70021  70027  70031  70037  70039  70043  70049  70051  70057  70063  70067  70069  70073  70079  70081  70087  70091  70093  70097  70099  70103  70105  70107  70108  70109  70111  70112  70113  70115  70117  70121  70123  70127  70129  70133  70139  70141  70147  70151  70153  70157  70163  70169  70171  70177  70181  70183  70189  70193  70199  70207  97155 

科目: 来源:czsx 题型:

如果把分式中的x和y都扩大2倍,那么分式的值

A.扩大2倍
B.不变
C.缩小2倍
D.扩大4倍

试题详情

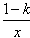
科目: 来源:czsx 题型:

在反比例函数y= 的图象的每一条曲线上,y都随x的增大而增大,则k的值可以是

A.-1        
B.0         
C.1        
D.2

试题详情

科目: 来源:czsx 题型:

不等式-x>3的解集是

A.x>3       
B.x<3       
C.x>-3
D.x<-3

试题详情

科目: 来源:czsx 题型:

如图,点A、B、C、D为圆O的四等分点,动点P从圆心O出发,沿O-C-D-O的路线作匀速运动,设运动时间为t秒, ∠APB的度数为y度,则下列图象中表示y与t之间函数关系最恰当的是


A.
B.
C.
D.

试题详情

科目: 来源:czsx 题型:

两个等腰直角三角形斜边的比是1:2,那么它们对应的面积比是

A.1:
B.1:2
C.1:4
D.1:1

试题详情

科目: 来源:czsx 题型:

在Rt△ABC中,∠ACB=90°,BC=1,AB=2,则下列结论正确的是

A.
B.
C.
D.

试题详情

科目: 来源:czsx 题型:

点P(m+2,m)在x轴上,则P点的坐标是

A.(-2,0)
B.(2,0)
C.(0,-2)
D.(0,2)

试题详情

科目: 来源:czsx 题型:

长度单位1纳米=10-9米,目前发现一种新型病毒直径为25100纳米,用科学记数法表示该病毒直径是

A.25.1×10-6
B.0.251×10-4
C.2.51×105
D.2.51×10-5

试题详情

科目: 来源:czsx 题型:

使代数式有意义的x的取值范围是

A.x>3
B.x≥3
C.x>4
D.x≥3且x≠4

试题详情

科目: 来源:czsx 题型:

从总体中抽取一个样本,计算出样本方差为2,可以估计总体方差

A.一定大于2
B.约等于2
C.一定等于2
D.与样本方差无关

试题详情


同步练习册答案