精英家教网 > 小学数学 > 题目详情
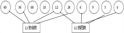
找一找、连一连
考点:找一个数的倍数的方法,找一个数的因数的方法
专题:数的整除
分析:根据:一个数的因数的个数是有限的,最小的因数是1,最大的因数是它本身;一个数的倍数的个数是无限的,最小的倍数也是它本身,没有最大的倍数;据此进行解答即可.
解答: 解:
点评:解答此题的关键是根据求一个数因数和倍数的方法进行解答.
练习册系列答案
相关习题

科目:小学数学 来源: 题型:

下面各题,只列式不计算:
(1)机床厂去年生产机床800台,今年生产机床1100台,今年产量是去年的百分之几?列式:
 

(2)机床厂去年生产机床800台,今年生产机床1100台,今年比去年增产百分之几?列式:
 

(3)机床厂去年生产机床800台,今年比去年多生产300台,今年比去年增产百分之几?列式:
 

(4)机床厂去年生产机床800台,比今年少生产300台,今年比去年增产百分之几?列式:
 

查看答案和解析>>

科目:小学数学 来源: 题型:

在如图的空格中填上不同的自然数,使每行、每列和两条对角线的四个数之和等于264,求A+B-C+D+E-F+G-H的和是多少?
6889A96
B91C88
99DEF
GH9819

查看答案和解析>>

科目:小学数学 来源: 题型:

503×7= 604×6= 720×4=
450×8= 409×3= 360×9=

查看答案和解析>>

科目:小学数学 来源: 题型:

一辆客车可以乘坐48人,28辆这样的客车可以坐多少人?

查看答案和解析>>

科目:小学数学 来源: 题型:

在格子图里画一个含有一个直角的四边形,再画一个不含有直角的四边形.

查看答案和解析>>

科目:小学数学 来源: 题型:

某厂加工一批零件,甲车间加工了5.2万个,比乙车间加工的2倍少0.2万个.乙车间加工了多少?

查看答案和解析>>

科目:小学数学 来源: 题型:

三年级同学要购买饮料开联欢会.请看统计图回答问题.

(1)买得最多的饮料是
 
,买了
 
瓶.
(2)百事可乐买了
 
瓶,橙汁买了
 
瓶.
(3)三年级的同学最喜欢的饮料是
 

(4)平均每一种饮料买了
 
瓶.
(5)看了统计图,你从健康角度出发,想对大家说什么?

查看答案和解析>>

科目:小学数学 来源: 题型:

不用格尺,画一条4厘米长的线段,然后在这条线段下面再用格尺画一条4厘米长的线段.

查看答案和解析>>

同步练习册答案