精英家教网 > 小学数学 > 题目详情
化简比:
45:30
0.25:0.6
2
3
1
15

4
7
:8.
考点:求比值和化简比
专题:比和比例
分析:根据比的基本性质,即比的前项和后项同时乘或除以一个相同的数(0除外)比值不变,进而把比化成最简比.
解答: 解:45:30
=(45÷5):(30÷5)
=9:6

0.25:0.6
=(0.25×20):(0.6×20)
=5:12

2
3
1
15

=(
2
3
×15):(
1
15
×15)
=10:1

4
7
:8
=(
4
7
×7÷4):(8×7÷4)
=1:14.
点评:此题考查化简比的方法,要注意化简比的结果仍是一个比,最简整数比是指比的前后项是互质数的比.
练习册系列答案
相关习题

科目:小学数学 来源: 题型:

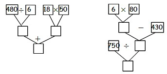
在横线上写出综合算式.

综合算式:
 
       综合算式:
 

查看答案和解析>>

科目:小学数学 来源: 题型:

小华和小明骑自行车上学,小华每分钟行
4
15
千米,小明每小时行15千米.他俩谁骑的速度快?

查看答案和解析>>

科目:小学数学 来源: 题型:

求∠1的度数.

查看答案和解析>>

科目:小学数学 来源: 题型:

张敏看一本书,每天看18页,12天正好看了这本书的一半.剩下的要9天看完,每天要看多少页?

查看答案和解析>>

科目:小学数学 来源: 题型:

一本故事书,小明已读的与未读的页数之比为2:3.再读45页就读完了,这本书共有多少页?

查看答案和解析>>

科目:小学数学 来源: 题型:

美宜佳超市早上9:00开门,晚上8:00关门,小敏早上8:40来到超市,她还要等几分钟超市才开门?

查看答案和解析>>

科目:小学数学 来源: 题型:

把下面的带分数化成假分数,把假分数化成带分数或整数.
60
48
=
140
40
=
8
5
9
=
7
3
7
=

查看答案和解析>>

科目:小学数学 来源: 题型:

用竖式计算.
780÷3        513÷5         904÷5
872÷4        964÷8         486×6.

查看答案和解析>>

同步练习册答案