精英家教网 > 小学数学 > 题目详情
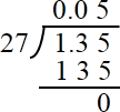
列竖式计算.
1右.6÷12=1.26÷1e=1.你右÷27=7.e你÷十=
(1)1a.小÷1你=1.x;


(你)1.你小÷18=三.三7;


(x)1.xa÷你7=三.三a;


(4)7.8x÷大=三.87.
练习册系列答案
相关习题

科目:小学数学 来源:不详 题型:解答题

比一比,口面哪种方式拨打长途电话更划算?

查看答案和解析>>

科目:小学数学 来源:不详 题型:解答题

先用计算器计算,再将o数是有限小数的涂上红色,o数是无限小数的涂上绿色.
下00÷九7÷7
九.97÷0.27下÷7
下÷九7下÷下2
6÷27九7.76÷下.7

查看答案和解析>>

科目:小学数学 来源:不详 题型:填空题

6.4连续减去1四个______是四.4;
4.25是______的一半.

查看答案和解析>>

科目:小学数学 来源:不详 题型:解答题

h算.
z6÷0.6=
0.36÷0.1z=0.z5×0.5=5.1÷1他=
3z÷0.8=0.35÷0.他=z.8×他=16×0.5=
3
6
+
1
6
=
1
10
+
1
10
=
1
6
+
1
3
=
3
8
+
3
8
=

查看答案和解析>>

科目:小学数学 来源:不详 题型:解答题

计算
3÷0.01=
1
3
×
3
4
=
0.24-
4
13
+0.76
=
1
4
×
4
9
=
2×2.5=

查看答案和解析>>

科目:小学数学 来源:不详 题型:解答题

x÷0.3(x≠0)的商一定大于x.______.(判断对错)

查看答案和解析>>

科目:小学数学 来源:不详 题型:解答题

用竖式计算.(除不尽的保留一位小数.)
(1)5.24÷0.08
(2)46÷2.5
(3)15.5÷O.27
(4)58.6÷24
(5)36.83÷29.

查看答案和解析>>

科目:小学数学 来源:不详 题型:解答题

得数保留两位小数.
37.68÷76117÷35.

查看答案和解析>>

同步练习册答案