精英家教网 > 初中数学 > 题目详情

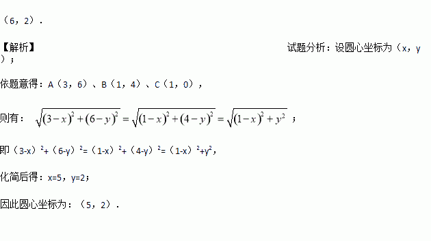
图中△ABC外接圆的圆心坐标是

练习册系列答案
相关习题

科目:初中数学 来源:[首发]广东省深圳市南山区2017届九年级第三次模拟考试数学试卷 题型:单选题

数据的众数有两个,则这组数据的中位数是( ).

A. 6 B. 7 C. 8 D. 9

查看答案和解析>>

科目:初中数学 来源:[首发]江苏省兴化市顾庄学区四校2016-2017学年七年级下学期第三次月考数学试卷 题型:填空题

不等式组的整数解是_______________ .

查看答案和解析>>

科目:初中数学 来源:辽宁省盘锦市2017年中考三模数学试卷 题型:解答题

在综合实践课上,小聪所在小组要测量一条河的宽度,如图,河岸EF∥MN,小聪在河岸MN上点A处用测角仪测得河对岸小树C位于东北方向,然后沿河岸走了30米,到达B处,测得河对岸电线杆D位于北偏东30°方向,此时,其他同学测得CD=10米.请根据这些数据求出河的宽度.(精确到0.1)(参考数据: ≈1.414, ≈1.132)

查看答案和解析>>

科目:初中数学 来源:辽宁省盘锦市2017年中考三模数学试卷 题型:填空题

如图,一次函数的图象与反比例函数的图象相交于A、B两点,当y1>y2时,-1<x<0或x>3,则一次函数的解析式为_____________________.

查看答案和解析>>

科目:初中数学 来源:辽宁省盘锦市2017年中考三模数学试卷 题型:单选题

如图,在平面直角坐标系中,点P(,a)在直线y=2x+2与直线y=2x+4之间,则a的取值范围是(  )

A. 2<a<4 B. 1<a<3 C. 1<a<2 D. 0<a<2

查看答案和解析>>

科目:初中数学 来源:2017年北京怀柔初三数学二模试卷及答案 题型:解答题

在△ABN中,∠B =90°,点M是AB上的动点(不与A,B两点重合),点C是BN延长线上的动点(不与点N重合),且AM=BC,CN=BM,连接CM与AN交于点P.

(1)在图1中依题意补全图形;

(2)小伟通过观察、实验,提出猜想:在点M,N运动的过程中,始终有∠APM=45°.?小伟把这个猜想与同学们进行交流,通过讨论,形成了证明该猜想的一种思路:

要想解决这个问题,首先应想办法移动部分等线段构造全等三角形,证明线段相等,再构造平行四边形,证明线段相等,进而证明等腰直角三角形,出现45°的角,再通过平行四边形对边平行的性质,证明∠APM=45°.

他们的一种作法是:过点M在AB下方作MDAB于点M,并且使MD=CN.通过证明△AMD△CBM,得到AD=CM,再连接DN,证明四边形CMDN是平行四边形,得到DN=CM,进而证明△ADN是等腰直角三角形,得到∠DNA=45°.又由四边形CMDN是平行四边形,推得∠APM=45°.使问题得以解决.

请你参考上面同学的思路,用另一种方法证明∠APM=45°.

查看答案和解析>>

科目:初中数学 来源:2017年北京怀柔初三数学二模试卷及答案 题型:填空题

,则__________.

查看答案和解析>>

科目:初中数学 来源:安徽省合肥市中铁国际城校区2016-2017学年八年级下学期第二次月考数学试卷 题型:解答题

计算: ﹣()-

查看答案和解析>>

同步练习册答案