精英家教网 > 初中数学 > 题目详情

(1)计算:

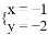
(2)解方程

练习册系列答案
相关习题

科目:初中数学 来源:2016-2017学年湖南省邵阳县八年级下学期期中考试数学试卷(解析版) 题型:单选题

如图所示,在菱形ABCD中,∠BAD=80°,AB的垂直平分线交对角线AC于点F,E为垂足,连结DF,则∠CDF等于( )

A. 80° B. 70° C. 65° D. 60°

查看答案和解析>>

科目:初中数学 来源:2016-2017学年江苏省无锡市惠山区七年级下学期期中考试数学试卷(解析版) 题型:解答题

(1)已知2x=3,2y=5,求: 的值.

(2),求:的值.

查看答案和解析>>

科目:初中数学 来源:2016-2017学年江苏省无锡市惠山区七年级下学期期中考试数学试卷(解析版) 题型:选择题

如图,已知AD∥BC,∠B=30°,DB平分∠ADE,则∠DEC=(   )

A. 30° B. 60° C. 90° D. 120°

查看答案和解析>>

科目:初中数学 来源:[中学联盟]浙江省台州市书生中学2017届九年级下学期期中考试数学试卷 题型:解答题

某市公交公司为应对春运期间的人流高峰,计划购买A、B两种型号的公交车共10辆,若购买A型公交车1辆,B型公交车2辆,共需400万元;若购买A型公交车2辆,B型公交车3辆,共需650万元,

(1)试问该公交公司计划购买A型和B型公交车每辆各需多少万元?

(2)若该公司预计在某条线路上A型和B型公交车每辆年均载客量分别为60万人次和100万人次.若该公司购买A型和B型公交车的总费用W不超过1200万元,且确保这10辆公交车在某条线路的年均载客量总和不少于680万人次,则该公司有哪几种购车方案?哪种购车方案的总费用W最少?最少总费用是多少万元?

查看答案和解析>>

科目:初中数学 来源:[中学联盟]浙江省台州市书生中学2017届九年级下学期期中考试数学试卷 题型:填空题

使二次根式有意义的x的取值范围是_________.

查看答案和解析>>

科目:初中数学 来源:[中学联盟]浙江省台州市书生中学2017届九年级下学期期中考试数学试卷 题型:选择题

如图所示,在平面直角坐标系中,点A、B的坐标分别为(-2,0)和(2,0).月牙①绕点B顺时针旋转90°得到月牙②,则点A的对应点A′的坐标为( )

A.(2,2) B.(2,4) C.(4,2) D.(1,2)

查看答案和解析>>

科目:初中数学 来源:[首发]江苏省兴化市顾庄学区三校2016-2017学年八年级下学期期中考试数学试卷 题型:填空题

计算: =_______.

查看答案和解析>>

科目:初中数学 来源:2016-2017学年度第二学期海南省定安县八年级期中数学试卷(解析版) 题型:单选题

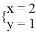
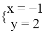
如图,直线l1:y=x+3与直线l2:y=mx+n交于点A(-1,b),则关于x、y的方程组的解为( )

A. B. C. D.

查看答案和解析>>

同步练习册答案