精英家教网 > 初中数学 > 题目详情

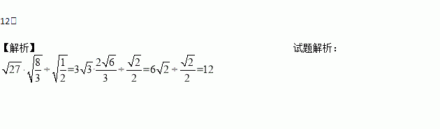
计算: =_______.

练习册系列答案
相关习题

科目:初中数学 来源:2016-2017学年江苏省启东市八年级下学期期中考试数学试卷(解析版) 题型:单选题

如图,函数的图象相交于点A(m,3),则不等式的解集为 (  )

A. B. C. D.

查看答案和解析>>

科目:初中数学 来源:[中学联盟]浙江省台州市书生中学2017届九年级下学期期中考试数学试卷 题型:解答题

(1)计算:

(2)解方程

查看答案和解析>>

科目:初中数学 来源:[首发]江苏省兴化市顾庄学区三校2016-2017学年八年级下学期期中考试数学试卷 题型:解答题

如图,A(),B()是反比例函数(x>0)的图像与一次函数图像的两个交点.求:

(1)反比例函数与一次函数的表达式;

(2)根据图像直接写出当时x的取值范围;

(3)P是反比例函数(x>0)图像上A、B之间的一点,AC⊥y轴于点C,BD⊥x轴于点D,若△PAC和△PBD的面积相等,求点P的坐标.

查看答案和解析>>

科目:初中数学 来源:[首发]江苏省兴化市顾庄学区三校2016-2017学年八年级下学期期中考试数学试卷 题型:解答题

先化简,再求值: ,其中

查看答案和解析>>

科目:初中数学 来源:[首发]江苏省兴化市顾庄学区三校2016-2017学年八年级下学期期中考试数学试卷 题型:填空题

分式的最简公分母是________.

查看答案和解析>>

科目:初中数学 来源:[首发]江苏省兴化市顾庄学区三校2016-2017学年八年级下学期期中考试数学试卷 题型:单选题

在分式中,最简分式的个数是( )

A. 2 B. 3 C. 4 D. 5

查看答案和解析>>

科目:初中数学 来源:2017届辽宁省营口市九年级下学期结课测试数学试卷(解析版) 题型:单选题

2017的相反数是 ( )

A. B. - C. 2017 D. -2017

查看答案和解析>>

科目:初中数学 来源:2016-2017学年山西省大同市矿区七年级下学期期中考试数学试卷(解析版) 题型:单选题

下列等式一定成立的是 ( )

A. B. -1

C. =±3 D. -=9

查看答案和解析>>

同步练习册答案