精英家教网 > 初中数学 > 题目详情

下列命题为真命题的是( )

A. 有两边及一角对应相等的两三角形全等 B. 两个相似三角形的面积比等于其相似比

C. 同旁内角相等 D. 两组对边分别相等的四边形是平行四边形

练习册系列答案
相关习题

科目:初中数学 来源:2016-2017学年河北省唐山市路南区八年级下学期期中质量检测数学试卷(解析版) 题型:解答题

如图,正方形ABCD的对角线AC,BD相交于点O,延长CB至点F,使CF=CA,连接AF,∠ACF的平分线分别交AF,AB,BD于点E,N,M,连接EO,已知BD=

(1)求正方形ABCD的边长;

(2)求OE的长;

(3)①求证:CN=AF;

②直接写出四边形AFBO的面积.

查看答案和解析>>

科目:初中数学 来源:2017届上海市嘉定区初三第二学期质量调研测试数学试卷(解析版) 题型:填空题

不等式组的解集是__.

查看答案和解析>>

科目:初中数学 来源:2017届上海市宝山区九年级第二学期期中考试数学试卷(解析版) 题型:填空题

已知一条长度为10米的斜坡两端的垂直高度差为6米,那么该斜坡的坡角度数约为____

(备用数据:).

查看答案和解析>>

科目:初中数学 来源:2017届上海市宝山区九年级第二学期期中考试数学试卷(解析版) 题型:填空题

方程的解是______.

查看答案和解析>>

科目:初中数学 来源:2016-2017学年广西北海市合浦县七年级下学期期中考试数学试卷(解析版) 题型:解答题

阅读理解.

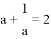
因为, ①

因为

所以由①得: , 由②得:

所以

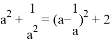
试根据上面公式的变形解答下列问题:

(1)已知,则下列等式成立的是( )

; ②; ③; ④

A.①; B.①②; C.①②③; D.①②③④;

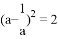
(2)已知,求下列代数式的值:

; ②;③.

查看答案和解析>>

科目:初中数学 来源:2016-2017学年广西北海市合浦县七年级下学期期中考试数学试卷(解析版) 题型:解答题

解下列方程组

(1);(2)

查看答案和解析>>

科目:初中数学 来源:2016-2017学年广西北海市合浦县七年级下学期期中考试数学试卷(解析版) 题型:单选题

下列各式计算正确的是(   )

A. a2+a2=a4 B. (3x)2=6x2 C. (x2)3=x6 D. (x+y)2=x2+y2

查看答案和解析>>

科目:初中数学 来源:2016-2017学年江苏省靖江市七年级下学期期中考试数学试卷(解析版) 题型:填空题

如图,把一张长方形纸片ABCD沿EF折叠,C点落在C'处,D点落在D'处,ED'交BC于点G.已知∠EFG= 50°.则∠BGD'的度数为_________.

查看答案和解析>>

同步练习册答案