精英家教网 > 初中数学 > 题目详情

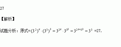
若2+3b=3,则·的值为_____________.

练习册系列答案
相关习题

科目:初中数学 来源:2015-2016学年山东省威海市七年级上期中数学试卷(解析版) 题型:填空题

已知一个多边形的每一个内角都等于108°,则这个多边形的边数是

查看答案和解析>>

科目:初中数学 来源:2015-2016学年山东省威海市八年级上期中数学试卷(解析版) 题型:解答题

甲乙两支篮球队进行了5场比赛,比赛成绩绘制成了统计图(如图)

(1)、请根据统计图填写下表

平均数

中位数

方差

(2)、如果从两队中选派一支球队参加篮球锦标赛,根据上述统计,从平均分、方差以及获胜场数这三个方面分别进行简要分析,你认为选派哪支球队参赛更能取得好成绩?

查看答案和解析>>

科目:初中数学 来源:2015-2016学年山东省威海市八年级上期中数学试卷(解析版) 题型:选择题

甲、乙两班举行电脑汉字输入比赛,参赛学生每分钟输入汉字的个数统计结果如下表:

班级

参赛人数

中位数

方差

平均数

55

149

191

135

55

151

110

135

某同学分析上表后得出如下结论:(1)甲、乙两班学生成绩平均水平相同;(2)乙班优秀的人数多于甲班优秀的人数(每分钟输入汉字≥150个为优秀);(3)甲班成绩的波动比乙班大,上述结论正确的是( )A (1)(2)(3) B (1)(2) C (1)(3) D(2)(3)

查看答案和解析>>

科目:初中数学 来源:2015-2016学年山东省滕州市七年级3月月考数学试卷(解析版) 题型:解答题

若(3x2-2x+1)(x+b)中不含x2项,求b的值.

查看答案和解析>>

科目:初中数学 来源:2015-2016学年山东省滕州市七年级3月月考数学试卷(解析版) 题型:选择题

已知( )

A、 B、 C、 D、52

查看答案和解析>>

科目:初中数学 来源:2015-2016学年山东省滕州市七年级3月月考数学试卷(解析版) 题型:选择题

计算的结果为( )

A.; B. ; C.; D.0

查看答案和解析>>

科目:初中数学 来源:2015-2016学年山东省七年级下第一次月考数学试卷(解析版) 题型:选择题

若有理数a和b在数轴上所表示的点分别在原点的右边和左边,则︱b︱-︱a-b︱等于( )

A、a B、-a C、2b+a D、2b-a

查看答案和解析>>

科目:初中数学 来源:2015-2016学年江苏省无锡市八年级3月阶段测试数学试卷(解析版) 题型:解答题

如图,在△ABC和△ADE中,点E在BC边上,∠BAC=∠DAE,∠B=∠D, AB=AD.

(1)试说明△ABC≌△ADE;

(2)如果∠AEC=75°,将△ADE绕点A旋转一个锐角后与△ABC重合,求这个旋转角的大小.

查看答案和解析>>

同步练习册答案