精英家教网 > 初中数学 > 题目详情

一元二次方程2x2﹣3x+1=0根的情况是( )

A. 有两个不相等的实数根

B. 有两个相等的实数根

C. 只有一个实数根

D. 没有实数根

练习册系列答案
相关习题

科目:初中数学 来源:2016-2017学年江苏省苏州市高新区八年级下学期期中测试数学试卷(解析版) 题型:解答题

已知:直线l1与直线l2平行,且它们之间的距离为2,A、B是直线l1上的两个定点,C、D是直线l2上的两个动点(点C在点D的左侧),AB=CD=5,连接AC、BD、BC,将△ABC沿BC折叠得到△A1BC.

(1)求四边形ABDC的面积.

(2)当A1与D重合时,四边形ABDC是什么特殊四边形,为什么?

(3)当A1与D不重合时:①连接A1、D,求证:A1D∥BC;②若以A1,B,C,D为顶点的四边形为矩形,且矩形的边长分别为a,b,求(a+b)2的值.

查看答案和解析>>

科目:初中数学 来源:2017届江苏省泰州市姜堰区九年级中考适应性考试(一)数学试卷(解析版) 题型:填空题

如图,AB∥CD∥EF,如果AC=2,AE=6,DF=3,那么BD=_________.

查看答案和解析>>

科目:初中数学 来源:2017届浙江省嵊州市数学试卷《考前磨刀(一)》(解析版) 题型:解答题

解方程:x²-2x-3=0

查看答案和解析>>

科目:初中数学 来源:2017届浙江省嵊州市数学试卷《考前磨刀(一)》(解析版) 题型:填空题

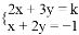
已知关于x,y的二元一次方程组的解互为相反数,则k的值是_________.

查看答案和解析>>

科目:初中数学 来源:2017届浙江省嵊州市数学试卷《考前磨刀(一)》(解析版) 题型:选择题

为庆祝战胜利70周年,我市某楼盘让利于民,决定将原价为a元/米2的商品房价降价10%销售,降价后的销售价为( )

A.a-10% B.a•10%

C.a(1-10%) D.a(1+10%)

查看答案和解析>>

科目:初中数学 来源:2016-2017学年江苏省丹阳市八年级下学期期中考试数学试卷(解析版) 题型:解答题

先化简,先化简再求值:,选择一个合适的值代入,求代数式的值.

查看答案和解析>>

科目:初中数学 来源:2016-2017学年江苏省丹阳市八年级下学期期中考试数学试卷(解析版) 题型:填空题

为了解某市参加中考的32000名学生的体重情况,抽查了其中1600名学生的体重进行统计分析,这个问题中的样本是________________________________________.

查看答案和解析>>

科目:初中数学 来源:2017届甘肃兰州市九年级中考模拟数学试卷(解析版) 题型:填空题

一位小朋友在粗糙不打滑的“Z”字形平面轨道上滚动一个半径为10cm的圆盘,如图所示,AB与CD是水平的,BC与水平面的夹角为60°,其中AB=60cm,CD=40cm,BC=40cm,那么该小朋友将圆盘从A点滚动到D点其圆心所经过的路线长为___________cm

查看答案和解析>>

同步练习册答案