精英家教网 > 初中数学 > 题目详情

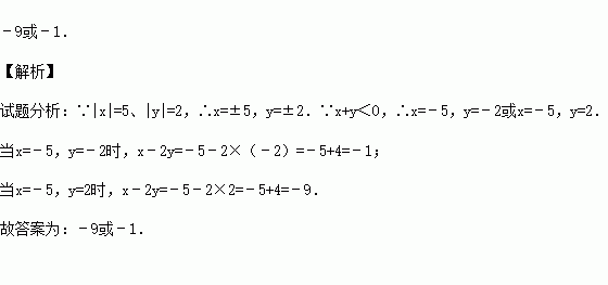
已知,且x+y<0,则x-2y的值是 .

练习册系列答案
相关习题

科目:初中数学 来源:2015-2016学年江苏省无锡市锡北片八年级上学期期中考试数学试卷(解析版) 题型:填空题

如图,公路AC,BC互相垂直,公路AB的中点M与点C被湖隔开,若测得AM的长为1.2km,则M,C两点间的距离为_______km.

查看答案和解析>>

科目:初中数学 来源:2015-2016学年河南省周口市八年级上学期期中数学试卷(解析版) 题型:解答题

如图,AB=AC,AD⊥BC于点D,AD=AE,AB平分∠DAE交DE于点F.请 你写出图中3对全等三角形,并选取其中1对加以证明.

查看答案和解析>>

科目:初中数学 来源:2015-2016学年河南省周口市八年级上学期期中数学试卷(解析版) 题型:选择题

如图,已知△ABC≌△ADC,∠B=30°,∠DAC=25°,则∠ACB=( )

A.55° B.60° C.120° D.125°

查看答案和解析>>

科目:初中数学 来源:2015-2016学年江苏省无锡市北塘区七年级上学期期中考试数学试卷(解析版) 题型:解答题

有理数a、b、c在数轴上的位置如图:

(1)判断正负,用“>”或“<”填空:b-c 0,a+b 0,c-a 0;

(2)化简:

查看答案和解析>>

科目:初中数学 来源:2015-2016学年江苏省无锡市北塘区七年级上学期期中考试数学试卷(解析版) 题型:选择题

比较大小(用“<”、“>”或“=”连接).

(1) ;(2)-3.14

查看答案和解析>>

科目:初中数学 来源:2015-2016学年江苏省无锡市北塘区七年级上学期期中考试数学试卷(解析版) 题型:选择题

下面的计算正确的是( )

A. B.

C. D.

查看答案和解析>>

科目:初中数学 来源:2015-2016学年江苏省七年级上学期期中考试数学试卷(解析版) 题型:填空题

在地理课本中,我国最长的河流长江约为千米,用科学记数法表示为 千米.

查看答案和解析>>

科目:初中数学 来源:2015-2016学年江苏省八年级上学期期中考试数学试卷(解析版) 题型:选择题

如图,工人师傅砌门时,常用木条固定长方形门框,使其不变形,这种做法的根据是( )

A.两点之间线段最短 B.三角形的稳定性

C.长方形的对称性 D.长方形的四个角都是直角

查看答案和解析>>

同步练习册答案