精英家教网 > 初中数学 > 题目详情

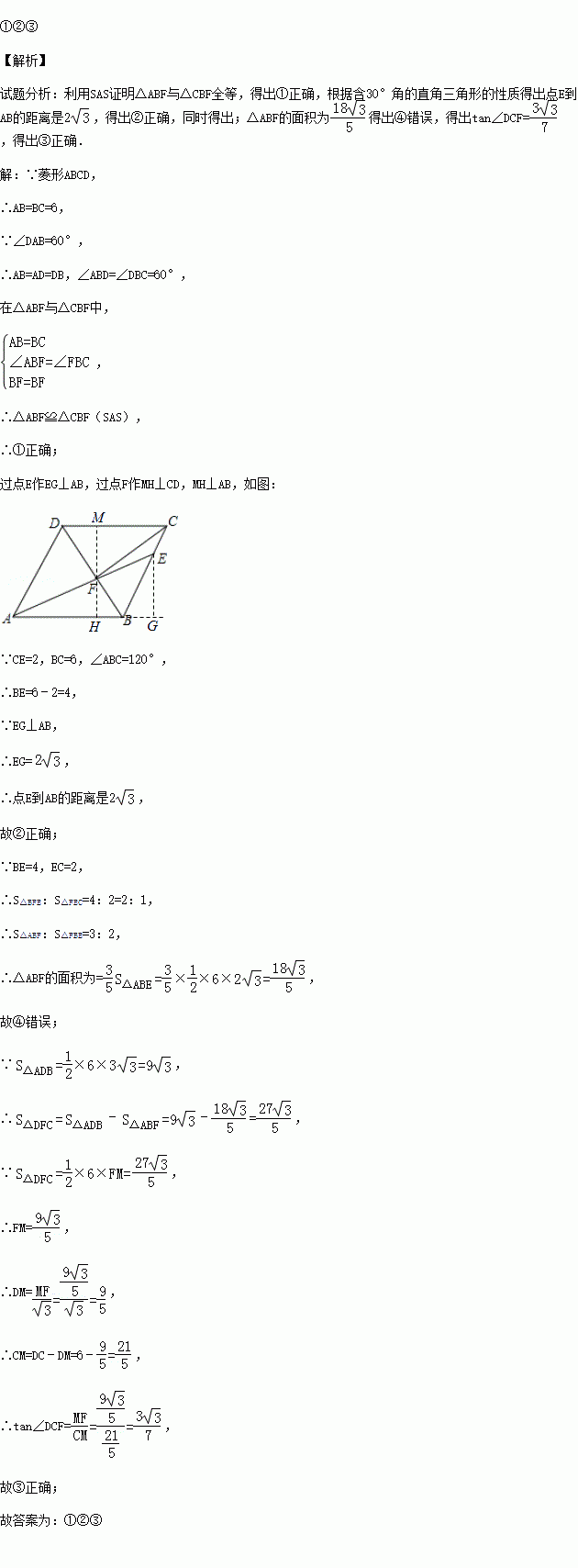
(2015•济南)如图,在菱形ABCD中,AB=6,∠DAB=60°,AE分别交BC、BD于点E、F,CE=2,连接CF,以下结论:①△ABF≌△CBF;②点E到AB的距离是2;③tan∠DCF=;④△ABF的面积为.其中一定成立的是 (把所有正确结论的序号都填在横线上).

练习册系列答案
相关习题

科目:初中数学 来源:2015-2016学年福建省龙岩市连城县七年级上学期期末数学试卷(解析版) 题型:填空题

(2015秋•连城县期末)同类项﹣a3b,3a3b,﹣a3b的和是

查看答案和解析>>

科目:初中数学 来源:2016届陕西省安康市汉滨区九年级上学期期末数学试卷(解析版) 题型:解答题

(2015•咸宁)已知关于x的一元二次方程mx2﹣(m+2)x+2=0.

(1)证明:不论m为何值时,方程总有实数根;

(2)m为何整数时,方程有两个不相等的正整数根.

查看答案和解析>>

科目:初中数学 来源:2016届陕西省安康市汉滨区九年级上学期期末数学试卷(解析版) 题型:选择题

(2015秋•汉滨区期末)将抛物线y=5x2先向左平移2个单位,再向上平移3个单位后得到新的抛物线,则新抛物线的表达式是( )

A.y=5(x+2)2+3

B.y=5(x﹣2)2+3

C.y=5(x﹣2)2﹣3

D.y=5(x+2)2﹣3

查看答案和解析>>

科目:初中数学 来源:2016届山东省九年级上学期12月月考数学试卷(解析版) 题型:解答题

(2015•郴州)如图,要测量A点到河岸BC的距离,在B点测得A点在B点的北偏东30°方向上,在C点测得A点在C点的北偏西45°方向上,又测得BC=150m.求A点到河岸BC的距离.(结果保留整数)(参考数据:≈1.41,≈1.73)

查看答案和解析>>

科目:初中数学 来源:2016届山东省九年级上学期12月月考数学试卷(解析版) 题型:填空题

(2015秋•枣庄校级月考)下列四个立体图形中,左视图为矩形的是

查看答案和解析>>

科目:初中数学 来源:2016届山东省九年级上学期12月月考数学试卷(解析版) 题型:选择题

(2015•滨州)下列运算:sin30°==2,π0=π,2﹣2=﹣4,其中运算结果正确的个数为( )

A.4 B.3 C.2 D.1

查看答案和解析>>

科目:初中数学 来源:2016届山东省泰安市肥城市九年级上学期期末数学试卷(解析版) 题型:选择题

(2013•青海)如图在直角△ABC中,∠ACB=90°,AC=8cm,BC=6cm,分别以A、B为圆心,以的长为半径作圆,将直角△ABC截去两个扇形,则剩余(阴影)部分的面积为( )

A.

B.

C.

D.

查看答案和解析>>

科目:初中数学 来源:2016届山东省德州市夏津县九年级上学期期末数学试卷(解析版) 题型:解答题

(2015•泰安)如图,在△ABC中,AB=AC,点P、D分别是BC、AC边上的点,且∠APD=∠B.

(1)求证:AC•CD=CP•BP;

(2)若AB=10,BC=12,当PD∥AB时,求BP的长.

查看答案和解析>>

同步练习册答案