精英家教网 > 初中数学 > 题目详情

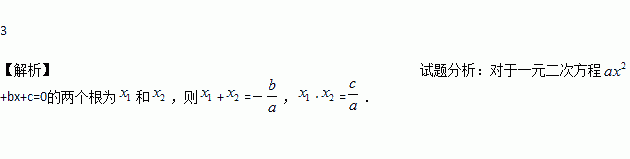
一元二次方程x2-3x-1=0的两根是x1,x2,则x1+x2=__________.

练习册系列答案
相关习题

科目:初中数学 来源:安徽省淮南市潘集区2016-2017学年七年级第四次联考数学试卷 题型:单选题

不等式3x<18 的解集是( )

A. x>6 B. x<6 C. x<-6 D. x<0

查看答案和解析>>

科目:初中数学 来源:[中学联盟]山东省临沭县青云镇中心中学2016-2017学年八年级5月阶段质量检测数学试卷 题型:填空题

已知点A(a,2a﹣3)在一次函数y=x+1的图象上,则a=______.

查看答案和解析>>

科目:初中数学 来源:[首发]江苏省2017届九年级5月月考数学试卷 题型:解答题

某商店从厂家以每件20元的价格购进一批商品,该商店可以自行定价。据市场调查,该商品的售价与销售量的关系是:若每件售价a元,则可卖出(360-10a)件,但物价部门限定每件商品加价不能超过进货价的25%.

(1)如果商店计划要获利480元,则每件商品的售价a应定为多少元?

(2)当每件商品的售价a定为多少元时,商店获利最大?并求此时的最大利润.

(每件商品的利润=售价-进货价)

查看答案和解析>>

科目:初中数学 来源:[首发]江苏省2017届九年级5月月考数学试卷 题型:填空题

如图,等边△ABC中,D是边BC上的一点,且BD:DC=1:3,把△ABC折叠,使点A落在边BC上的点D处,那么的值为____.

查看答案和解析>>

科目:初中数学 来源:[首发]江苏省2017届九年级5月月考数学试卷 题型:单选题

如图,在Rt△ABC中,∠ACB=90°,BC=1,AB=2,下列结论正确的是 ( )

A. sinA= B. tanA= C. cosB= D. tanB=

查看答案和解析>>

科目:初中数学 来源:重庆市初三2016-217学年度下期第一次模拟考试数学试卷 题型:解答题

如图,在平面直角坐标系中,抛物线与x轴交于A,B两点(点A在点B左侧),与y轴交于点C,连接BC,过点A作AD//BC交y轴于点D.

(1)求平行线AD、BC之间的距离;

(2)如图1,点P为线段BC上方抛物线上的一动点,当△PCB的面积最大时,Q从点P出发,先沿适当的路径运动到直线BC上点M处,再沿垂直于直线BC的方向运动到直线AD上的点N处,最后沿适当的路径运动到点B处停止.当点Q的运动路径最短时,求点M的坐标及点Q经过的最短路径的长;

(3)如图2,将抛物线以每秒个单位长度的速度沿射线AD方向平移,抛物线上的点A、C平移后的对应点分别记作,当是以为底边的等腰三角形时,将等腰绕点D逆时针旋转一周,记旋转中的,若直线与y轴交于点K,直线与直线AD交于点I,当是以KI为底边的等腰三角形时,求出的值.

查看答案和解析>>

科目:初中数学 来源:重庆市初三2016-217学年度下期第一次模拟考试数学试卷 题型:单选题

如图,矩形,以A为圆心,AD为半径作弧交BC于点F,交AB的延长线于点E,已知,则阴影部分的面积为( ).

A. B. C. D.

查看答案和解析>>

科目:初中数学 来源:江苏省连云港市2017届九年级中考模拟(四)数学试卷 题型:解答题

计算:

查看答案和解析>>

同步练习册答案