精英家教网 > 初中数学 > 题目详情

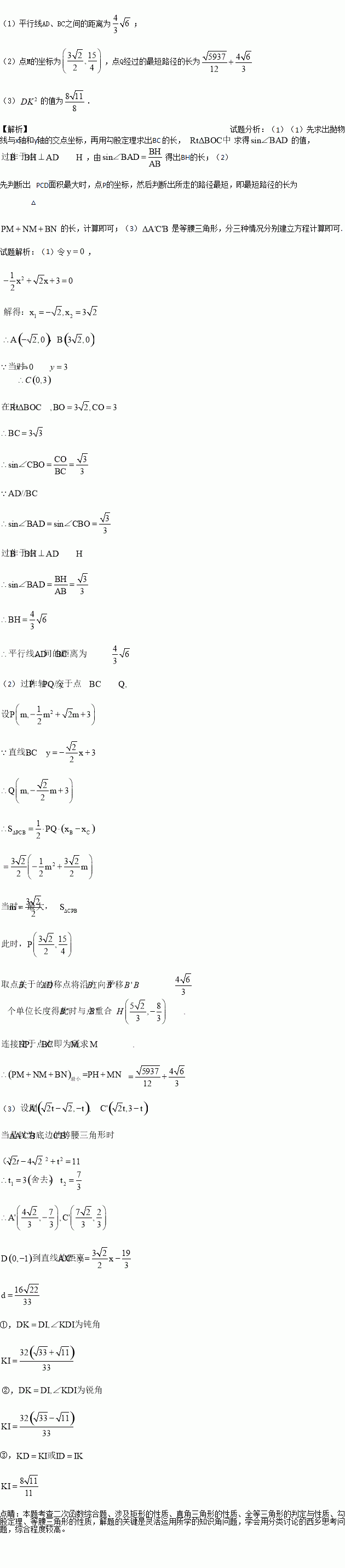
如图,在平面直角坐标系中,抛物线与x轴交于A,B两点(点A在点B左侧),与y轴交于点C,连接BC,过点A作AD//BC交y轴于点D.

(1)求平行线AD、BC之间的距离;

(2)如图1,点P为线段BC上方抛物线上的一动点,当△PCB的面积最大时,Q从点P出发,先沿适当的路径运动到直线BC上点M处,再沿垂直于直线BC的方向运动到直线AD上的点N处,最后沿适当的路径运动到点B处停止.当点Q的运动路径最短时,求点M的坐标及点Q经过的最短路径的长;

(3)如图2,将抛物线以每秒个单位长度的速度沿射线AD方向平移,抛物线上的点A、C平移后的对应点分别记作,当是以为底边的等腰三角形时,将等腰绕点D逆时针旋转一周,记旋转中的,若直线与y轴交于点K,直线与直线AD交于点I,当是以KI为底边的等腰三角形时,求出的值.

练习册系列答案
相关习题

科目:初中数学 来源:北京市海淀区九年级第二学期期末练习(二模)数学试卷及答案(word版) 题型:解答题

解不等式组:

查看答案和解析>>

科目:初中数学 来源:[中学联盟]山东省临沭县青云镇中心中学2016-2017学年八年级5月阶段质量检测数学试卷 题型:单选题

下面各点在函数y= +1的图象上的是( )

A. (2,1) B. (﹣2,1) C. (2,0) D. (﹣2,0)

查看答案和解析>>

科目:初中数学 来源:[首发]江苏省2017届九年级5月月考数学试卷 题型:填空题

一元二次方程x2-3x-1=0的两根是x1,x2,则x1+x2=__________.

查看答案和解析>>

科目:初中数学 来源:[首发]江苏省2017届九年级5月月考数学试卷 题型:单选题

已知圆锥的底面半径为3cm,母线为5cm,则圆锥的侧面积是 ( )

A. 30πcm2 B. 15πcm2 C. cm2 D. 10πcm2

查看答案和解析>>

科目:初中数学 来源:重庆市初三2016-217学年度下期第一次模拟考试数学试卷 题型:解答题

化简:(1);(2)

查看答案和解析>>

科目:初中数学 来源:重庆市初三2016-217学年度下期第一次模拟考试数学试卷 题型:填空题

=______.

查看答案和解析>>

科目:初中数学 来源:2017届山东省九年级学业水平模拟试卷(一)数学试卷(解析版) 题型:解答题

如图,四边形ABCD是边长为a的正方形,点G,E分别是边AB,BC的中点,∠AEF=90°,且EF交正方形外角的平分线CF于点F.

(1)证明:△AGE≌△ECF;

(2)连接GD,DF.判断四边形GEFD的形状,并说明理由;

查看答案和解析>>

科目:初中数学 来源:江苏省连云港市2017届九年级中考模拟(四)数学试卷 题型:单选题

若点A(﹣1,2),B(2,﹣3)在直线y=kx+b上,则函数y=的图象在(  )

A. 第一、三象限 B. 第一、二象限 C. 第二、四象限 D. 第二、三象限

查看答案和解析>>

同步练习册答案