精英家教网 > 初中数学 > 题目详情

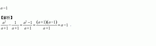
计算: =______________.

练习册系列答案
相关习题

科目:初中数学 来源:【全国区级联考】江苏省盐城市大丰区2017届九年级第二次质量检测(二模)数学试卷 题型:单选题

如图,在平行四边形ABCD中,AB=3,BC=5,对角线AC、BD相交于点O,则OA的取值范围是( )

A. 2<OA<5 B. 2<OA<8 C. 1<OA<4 D. 3<OA<8.

查看答案和解析>>

科目:初中数学 来源:宁夏银川市阅海分校2017届九年级下学期第一次模拟考试数学试卷 题型:解答题

解不等式组,并写出其整数解

查看答案和解析>>

科目:初中数学 来源:【全国区级联考】湖南省岳阳地区2017年中考二模数学试卷 题型:解答题

如图,在平面直角坐标系中,抛物线y=a+bx﹣3(a≠0)与x轴交于点A(﹣2,0)、B(4,0)两点,与y轴交于点C.

(1)求抛物线的解析式;

(2)点P从A点出发,在线段AB上以每秒3个单位长度的速度向B点运动,同时点Q从B点出发,在线段BC上以每秒1个单位长度的速度向C点运动,其中一个点到达终点时,另一个点也停止运动,当△PBQ存在时,求运动多少秒使△PBQ的面积最大,最大面积是多少?

(3)当△PBQ的面积最大时,在BC下方的抛物线上存在点K,使S△CBK:S△PBQ=5:2,求K点坐标.

查看答案和解析>>

科目:初中数学 来源:【全国区级联考】湖南省岳阳地区2017年中考二模数学试卷 题型:解答题

计算:

查看答案和解析>>

科目:初中数学 来源:【全国区级联考】湖南省岳阳地区2017年中考二模数学试卷 题型:单选题

在六张卡片上分别写有,1.5, 5, 0, 六个数,从中任意抽取一张,卡片上的数为无理数的概率是(   )

A. B. C. D.

查看答案和解析>>

科目:初中数学 来源:内蒙古赤峰市宁城县2017届中考第二次模拟数学试卷 题型:解答题

已知二次函数y=ax2+bx-3经过A(-1,0),B(3,0)两点,

(1)求二次函数解析式及对称轴方程;

(2)连接BC,交对称轴于点E,求E点坐标;

(3)在y轴上是否存在一点M,使ΔBCM为等腰三角形,若存在,直接写出点M的坐标,若不存在,请说明理由;

(4)在第四象限内抛物线上是否存一点H,使得四边形ACHB的面积最大,若存在,求出点H坐标,若不存在,说明理由.

查看答案和解析>>

科目:初中数学 来源:内蒙古赤峰市宁城县2017届中考第二次模拟数学试卷 题型:单选题

把一块直尺与一块三角板如图放置,若,则∠2的度数为( )

A. 120° B. 135° C. 145° D. 150°

查看答案和解析>>

科目:初中数学 来源:江苏省盐城市滨海2017届初三毕业班第二次调研测试数学试卷(含答案) 题型:解答题

计算: ﹣(π﹣2016)0+|﹣2|+2sin60°.

查看答案和解析>>

同步练习册答案