精英家教网 > 初中数学 > 题目详情

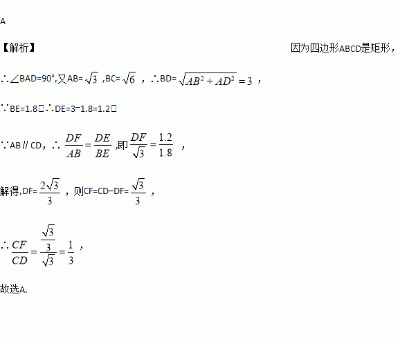
如图,矩形ABCD中,AB=,BC=,点E在对角线BD上,且BE=1.8,连接AE并延长交DC于点F,则的值为(  ).

A. B. C. D.

练习册系列答案
相关习题

科目:初中数学 来源:江苏省南京市2016-2017学年七年级下学期期中考试数学试卷 题型:解答题

七年级教材在图形与几何部分给出了五条基本事实,在《证明》一章中我们从两条基本事实出发,把前面得到的平行线相关性质进行了严格的证明,体会了数学的公里化思想.请完成下列证明活动:

活动.利用基本事实证明:“两直线平行,同位角相等”.(在括号内填上相应的基本事实)

已知:如图,直线被直线所截, .

求证: .

证明:假设,则可以过点.

).

∴过点存在两条直线两条直线与平行,这与基本事实( )矛盾.

∴假设不成立.

.

活动.利用刚刚证明的“两直线平行,同位角相等”证明“两直线平行,同旁内角互补”.(要求画图,写出已知、求证并写出证明过程)

已知: .

求证: .

证明:

查看答案和解析>>

科目:初中数学 来源:【全国校级联考】江苏省扬州市江都区五校联谊2017届九年级下学期第二次模拟考试数学试卷 题型:填空题

关于x的一元二次方程x2﹣3x+m=0有两个不相等的实数根,则实数m的取值范围为___________。

查看答案和解析>>

科目:初中数学 来源:【全国市业水平模拟考试(二)数学试卷 题型:解答题

目前中学生带手机进校园现象越来越受到社会关注,针对这种现象,某校数学兴趣小组的同学随机调查了学校若干名家长对“中学生带手机”现象的态度(态度分为:A.无所谓;B.基本赞成;C.赞成;D.反对),并将调查结果绘制成频数折线统计图1和扇形统计图2(不完整).请根据图中提供的信息,解答下列问题:

(1)此次抽样调查中,共调查了多少名中学生家长;

(2)求出图2中扇形C所对的圆心角的度数,并将图1补充完整;

(3)根据抽样调查结果,请你估计1万名中学生家长中有多少名家长持反对态度;

(4)在此次调查活动中,初三(1)班和初三(2)班各有2位家长对中学生带手机持反对态度,现从这4位家长中选2位家长参加学校组织的家校活动,用列表法或画树状图的方法求选出的2人来自不同班级的概率.

查看答案和解析>>

科目:初中数学 来源:【全国市业水平模拟考试(二)数学试卷 题型:填空题

分解因式:x2﹣y2﹣3x﹣3y=__________.

查看答案和解析>>

科目:初中数学 来源:【全国市业水平模拟考试(二)数学试卷 题型:单选题

如图,厂房屋顶人字形(等腰三角形)钢架的跨度BC=10米,∠B=36°,则中柱AD(D为底边中点)的长是( )

A. 5sin36°米 B. 5cos36°米 C. 5tan36°米 D. 10tan36°米

查看答案和解析>>

科目:初中数学 来源:【全国市业质量检查数学试卷 题型:解答题

某校校本课程中心为了解该校学生喜欢校本课程的情况,采取抽样调查的办法,通过书法、剪纸、灯谜、足球四门课程的选报情况调查若干名学生的兴趣爱好,要求每位同学只能选择一门自己喜欢的课程,并将调查结果绘制成如下两幅不完整的统计图,请你根据图中提供的信息,解答:

(1)在这次调查研究中,一共调查了______名学生;

(2)喜欢剪纸的人数在扇形统计图中所占的圆心角是多少度?请补全频数分布折线统计图;

(3)为了平衡各校本课程的人数,需要从喜欢书法课程的甲、乙、丙3人中调整2人到剪纸课程,求“甲乙两人被同时调整到剪纸课程”的概率,试用画树状图或列表说明.

查看答案和解析>>

科目:初中数学 来源:【全国市业质量检查数学试卷 题型:单选题

如图数轴上表示的是下列哪个不等式组的解集( ).

A. B. C. D.

查看答案和解析>>

科目:初中数学 来源:【全国市业质量检查数学试卷 题型:填空题

已知是方程的解,则的值是___________.

查看答案和解析>>

同步练习册答案