精英家教网 > 初中数学 > 题目详情

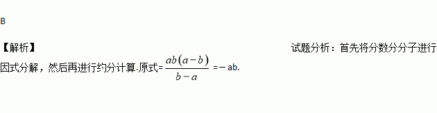
化简结果正确的是( )

A. B. C. D.

练习册系列答案
相关习题

科目:初中数学 来源:【全国区级联考】四川省遂宁市市城区2017届九年级上学期教学水平监测数学试卷 题型:填空题

如图,抛物线的对称轴为直线,与轴的一个交点坐标为(-1,0),其部分图象如图所示,下列结论:

;② 方程的两个根是;③ ;④当时, 的取值范围是;⑤ 当时, 增大而增大;其中结论正确有____.

查看答案和解析>>

科目:初中数学 来源:【全国省级联考】2017年河北省中考数学模拟试卷(压轴一) 题型:单选题

下列等式从左到右的变形,属于因式分解的是( )

A. a(x-y)=ax-ay

B. x2+2x+1=x(x+2)+1

C. (x+1)(x+3)=x2+4x+3

D. x3-x=x(x+1)(x-1)

查看答案和解析>>

科目:初中数学 来源:山东省临沂市蒙阴县2017届九年级第二轮模拟考试数学试卷 题型:填空题

如果一个数的平方等于-1,记作i2=-1,这个数叫做虚数单位.形如a+bi(a,b为有理数)的数叫复数,其中a叫这个复数的实部,b叫做这个复数的虚部,它的加,减,乘法运算与整式的加,减,乘法运算类似.

如:(2+i)+(3-5i)=(2+3)+(1-5)i=5-4i,

(5+i)×(3-4i)=5×3+5×(-4i)+i×3+i×(-4i)=15-20i+3i-4×i2=15-17i-4×(-1)=19-17i.

请根据以上内容的理解,利用以前学习的有关知识将(1+i)(1-i)化简结果为________.

查看答案和解析>>

科目:初中数学 来源:山东省临沂市蒙阴县2017届九年级第二轮模拟考试数学试卷 题型:单选题

如图,函数>0)与⊙O在第一象限内交于P、Q两点,分别过P、Q两点向x轴和y轴作垂线.已知点P坐标为(1,3),则图中阴影部分的面积为( ) .

A. 3 B. 2 C. D. 4

查看答案和解析>>

科目:初中数学 来源:山东省临沂市蒙阴县2017届九年级第二轮模拟考试数学试卷 题型:单选题

下列计算正确的是( )

A. B. C. D.

查看答案和解析>>

科目:初中数学 来源:【全国市里联考】湖北省黄冈市2017年中考模拟试卷数学B卷 题型:解答题

某学校准备开展“阳光体育活动”,决定开设以下体育活动项目:足球、乒乓球、篮球和羽毛球,要求每位学生必须且只能选择一项,为了解选择各种体育活动项目的学生人数,随机抽取了部分学生进行调查,并将通过获得的数据进行整理,绘制出以下两幅不完整的统计图,请根据统计图回答问题:

(1)这次活动一共调查了多少名学生?

(2)补全条形统计图;

(3)在扇形统计图中,选择篮球项目的人数所在扇形的圆心角等于多少度?

(4)若该学校有1500人,请你估计该学校选择足球项目的学生人数;

(5)九(1)班从参加乒乓球活动的学生中挑选四名优秀学生张杰、吴元、金贤、郝涛,随机选取两人为一组,另两人为一组,进行男子双打对抗训练,准备参加县乒乓球比赛.用树状图或列表法求吴元与金贤恰好分在同一组的概率.

查看答案和解析>>

科目:初中数学 来源:【全国市里联考】湖北省黄冈市2017年中考模拟试卷数学B卷 题型:单选题

下列计算正确的是( )

A. B. C. D.

查看答案和解析>>

科目:初中数学 来源:【全国省毕业学业考试模拟试卷数学试卷 题型:单选题

如图,EF是圆O的直径,OE=5 cm,弦MN=8 cm,则E,F两点到直线MN的距离之和等于(  )

A. 12 cm B. 6 cm C. 8 cm D. 3 cm

查看答案和解析>>

同步练习册答案