精英家教网 > 初中数学 > 题目详情

若反比例函数y=图象经过点A(﹣),则k=(______).

练习册系列答案
相关习题

科目:初中数学 来源:[首发]2016-2017学年山东省八年级下学期期中考试数学试卷(解析版) 题型:选择题

若不等式组有解,则a的取值范围是(   )

 A.a>-1   B.a≥-1     C.a≤1    D.a<1

查看答案和解析>>

科目:初中数学 来源:2017届浙江省杭州市淳安县九年级下学期期中(中考模拟)考试数学试卷(解析版) 题型:填空题

四边形OBCD中的三个顶点在⊙O上,点A是⊙O上的一个动点(不与点B、C、D重合)。若四边形OBCD是平行四边形时,那么的数量关系是________________.

查看答案和解析>>

科目:初中数学 来源:2016-2017学年江苏省苏州市高新区八年级下学期期中测试数学试卷(解析版) 题型:解答题

已知:直线l1与直线l2平行,且它们之间的距离为2,A、B是直线l1上的两个定点,C、D是直线l2上的两个动点(点C在点D的左侧),AB=CD=5,连接AC、BD、BC,将△ABC沿BC折叠得到△A1BC.

(1)求四边形ABDC的面积.

(2)当A1与D重合时,四边形ABDC是什么特殊四边形,为什么?

(3)当A1与D不重合时:①连接A1、D,求证:A1D∥BC;②若以A1,B,C,D为顶点的四边形为矩形,且矩形的边长分别为a,b,求(a+b)2的值.

查看答案和解析>>

科目:初中数学 来源:2016-2017学年江苏省苏州市高新区八年级下学期期中测试数学试卷(解析版) 题型:解答题

(1)(2)

查看答案和解析>>

科目:初中数学 来源:2016-2017学年江苏省苏州市高新区八年级下学期期中测试数学试卷(解析版) 题型:选择题

(2分)如图,矩形ABCD的对角线BD经过坐标原点,矩形的边分别平行于坐标轴,点C在反比例函数y=﹣的图象上,若点A的坐标为(﹣2,﹣2),则k的值为()

A.4 B.﹣4 C.8 D.﹣8

查看答案和解析>>

科目:初中数学 来源:2016-2017学年江苏省苏州市高新区八年级下学期期中测试数学试卷(解析版) 题型:单选题

下列图形中,既是轴对称图形又是中心对称图形的是( )

A. B. C. D.

查看答案和解析>>

科目:初中数学 来源:2017届江苏省泰州市姜堰区九年级中考适应性考试(一)数学试卷(解析版) 题型:填空题

如图,AB∥CD∥EF,如果AC=2,AE=6,DF=3,那么BD=_________.

查看答案和解析>>

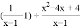
科目:初中数学 来源:2016-2017学年江苏省丹阳市八年级下学期期中考试数学试卷(解析版) 题型:解答题

先化简,先化简再求值:,选择一个合适的值代入,求代数式的值.

查看答案和解析>>

同步练习册答案