精英家教网 > 初中数学 > 题目详情

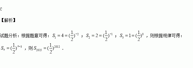
如图所示,正方形ABCD的边长为2,其面积标记为S1,以CD为斜边作等腰直角三角形,以该等腰直角三角形的一条直角边为边向外作正方形,其面积标记为S2,……按照此规律继续下去,则S2015的值为( )

A. B. C. D.

练习册系列答案
相关习题

科目:初中数学 来源:2015-2016学年四川省巴中市巴州区七年级下第一次月考数学试卷(解析版) 题型:选择题

下列命题是真命题的是( )

A.同旁内角互补 B.垂直于同一条直线的两直线平行 C.邻补角相等 D.两直线平行,内错角相等

查看答案和解析>>

科目:初中数学 来源:2016届山西省九年级素质检测数学试卷(解析版) 题型:填空题

如图,点A1、A2 、A3、…,点B1、B2、B3、…,分别在射线OM、ON上,A1B1∥A2B2∥A3B3∥A4B4∥…。如果A1B1=2,A1A2=2OA1,A2A3=3OA1,A3A 4=4OA1,…。那么A2B2= ,AnBn= 。(n为正整数)

查看答案和解析>>

科目:初中数学 来源:2015-2016学年山东省八年级下第一次月考数学试卷(解析版) 题型:解答题

已知x、y为实数,y=求3x+4y

查看答案和解析>>

科目:初中数学 来源:2015-2016学年山东省八年级下第一次月考数学试卷(解析版) 题型:填空题

已知a、b为两个连续的整数,且,则a+b= .

查看答案和解析>>

科目:初中数学 来源:2015-2016学年山东省八年级下第一次月考数学试卷(解析版) 题型:选择题

边长为7,24,25的△ABC内有一点P到三边的距离相等,则这个距离是( )

A.1 B. 3 C.4 D.6[来

查看答案和解析>>

科目:初中数学 来源:2015-2016学年山东省威海市七年级上期中数学试卷(解析版) 题型:解答题

如图正方形ABCD的边长为4,E、F分别为DC、BC中点.

(1)求证:△ADE≌△ABF.

(2)求△AEF的面积.

查看答案和解析>>

科目:初中数学 来源:2015-2016学年山东省威海市七年级上期中数学试卷(解析版) 题型:选择题

如图,将△ABC沿直线DE折叠后,使得点B与点A重合.已知AC=5cm,△ADC的周长为17cm,则BC的长为( )

A.7cm B.10cm C.12cm D.22cm

查看答案和解析>>

科目:初中数学 来源:2015-2016学年山东省威海市八年级上期中数学试卷(解析版) 题型:填空题

甲、乙两个同学分解因式x2+ax+b时,甲看错了b,分解结果为(x+2)(x+4);乙看错了a,分解结果为(x+1)(x+9),则a+b=_______

查看答案和解析>>

同步练习册答案