精英家教网 > 初中数学 > 题目详情

如图,△ABC是等边三角形,BD为中线,延长BC至点E,使CE=CD,连接DE,则∠BDE=_____________.

练习册系列答案
相关习题

科目:初中数学 来源:2016-2017学年山东省泰安市泰山区六年级(五四制)上学期期末学情检测数学试卷(解析版) 题型:单选题

如图所示的几何体,从左面看到的形状图是

A. B. C. D.

查看答案和解析>>

科目:初中数学 来源:2017届江苏省丹阳市九年级下学期期中考试数学试卷(解析版) 题型:解答题

(1)解方程-= (2)解不等式组:

查看答案和解析>>

科目:初中数学 来源:2017届江苏省丹阳市九年级下学期期中考试数学试卷(解析版) 题型:填空题

_________。

查看答案和解析>>

科目:初中数学 来源:2016-2017学年江苏省宜兴外国语学校八年级上学期期中考试数学试卷(解析版) 题型:解答题

如图,已知:△ABC中,AB=AC,M是BC的中点,D、E分别是AB、AC边上的点,且BD=CE.求证:MD=ME.

查看答案和解析>>

科目:初中数学 来源:2016-2017学年江苏省宜兴外国语学校八年级上学期期中考试数学试卷(解析版) 题型:填空题

在Rt△ABC中,∠C=90°,AC=3,AB=4,则BC =________.

查看答案和解析>>

科目:初中数学 来源:2016-2017学年江苏省宜兴外国语学校八年级上学期期中考试数学试卷(解析版) 题型:单选题

等腰三角形的周长为13cm,其中一边长为3cm,则该等腰三角形的底边长

为( )

A. 7cm B. 3cm C. 7cm或3cm D. 5cm

查看答案和解析>>

科目:初中数学 来源:2016-2017学年江苏省无锡市锡北片七年级下学期期中考试数学试卷(解析版) 题型:填空题

若一个多边形的内角和为900º,则这个多边形的边数是

查看答案和解析>>

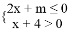
科目:初中数学 来源:[首发]2016-2017学年江苏省南通市七年级下学期期中考试数学试卷(解析版) 题型:填空题

已知关于x的不等式组的所有整数解的和为-5,则m的取值范围为_____________.

查看答案和解析>>

同步练习册答案