精英家教网 > 初中数学 > 题目详情

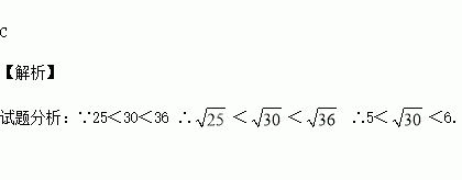
估计的值 ( )

A.在3到4之间 B.在4到5之间 C.在5到6之间 D.在6到7之间

练习册系列答案
相关习题

科目:初中数学 来源:2017届春学期浙江金华市九年级4月份数学试卷(解析版) 题型:单选题

移动互联网已经全面进入人们的日常生活.截止2015年3月,全国4G用户总数达到1.62亿,其中1.62亿用科学记数法表示为( )

A. 1.62×104 B. 1.62×106

C. 1.62×108 D. 0.162×109

查看答案和解析>>

科目:初中数学 来源:2016-2017学年浙江杭州开元中学八年级(下)期中模拟数学试卷(解析版) 题型:填空题

已知,则的值为___________.

查看答案和解析>>

科目:初中数学 来源:2016-2017学年湖北省枝江市九校七年级下学期期中联考数学试卷(解析版) 题型:解答题

(本题满分10分)

李欣同学昨天在文具店买了2本笔记本和4支多用笔,共花了14元;王凯以同样的价[

格买了2本笔记本和3支多用笔,共花了12元;问笔记本和多用笔的单价各是多少元?

查看答案和解析>>

科目:初中数学 来源:2016-2017学年湖北省枝江市九校七年级下学期期中联考数学试卷(解析版) 题型:单选题

若点P是第三象限内的点,且点P到x轴的距离是4,到y轴的距离是3,则点P的坐标是(  )

A. (﹣4,-3) B. (4,﹣3) C. (﹣3,-4) D. (3,﹣4)

查看答案和解析>>

科目:初中数学 来源:2016-2017学年湖北省枝江市九校七年级下学期期中联考数学试卷(解析版) 题型:单选题

在同一个平面内,两条直线的位置关系是

A. 平行或垂直 B. 相交或垂直 C. 平行或相交 D. 不能确定

查看答案和解析>>

科目:初中数学 来源:2016-2017学年湖南省邵阳县八年级下学期期中考试数学试卷(解析版) 题型:解答题

如图所示,在△ABC中,点D在BC上且CD=CA, CF平分∠ACB,AE=EB,求证:EF=BD.

查看答案和解析>>

科目:初中数学 来源:2016-2017学年湖南省邵阳县八年级下学期期中考试数学试卷(解析版) 题型:单选题

如图所示,在Rt△ABC中,∠A=90º,BD平分∠ABC,交AC于点D,且AB=4,BD=5,则点D到BC的距离是( )

A. 3 B. 4 C. 5 D. 6

查看答案和解析>>

科目:初中数学 来源:2016-2017学年江苏省无锡市惠山区七年级下学期期中考试数学试卷(解析版) 题型:填空题

一个大正方形和四个边长相等的小正方形按图①、②两种方式摆放,则图②的大正方形中未被小正方形覆盖部分的面积是_______________________.(用a、b的代数式表示).

查看答案和解析>>

同步练习册答案